All Exams  >   Mathematics  >   IIT JAM Mathematics Mock Test Series  >   All Questions

All questions of Practice Test for IIT Jam Mathematics for Mathematics Exam

A group (G, *) has 10 elements. The minimum number of elements of G, which are their own inverse is
  • a)
    2
  • b)
    1
  • c)
    9
  • d)
    0
Correct answer is option 'B'. Can you explain this answer?

Chirag Verma answered
Since,in a group there must be an identity element.Also it is its own inverse. Therefore,minimum number of elements of G,which are their own inverse=1

Find the number of element of order 10 in Z30
    Correct answer is '4'. Can you explain this answer?

    Chirag Verma answered
    Since, the number of elements of order cl in a cyclic group of order n is φ(d), where d is positive divisor of n. Hence, the number of elements of order 10 in  is

    Find the directional derivative of  φ = x2yz + 4xz2 at (1, - 2 , - 1 ) in the direction 2i - j - 2k.
      Correct answer is '12.34'. Can you explain this answer?

      Chirag Verma answered
      The unit vector in the direction of 2i - j - 2k is
      Then the required directional derivative is
      Since this is positive,increasing in this direction.

      Which of the following is correct?
      • a)
        Every subgroup of an abelian group is normal
      • b)
        Every subgroup of a cyclic group is normal
      • c)
        Intersection of any two normal subgroup is a normal subgroup
      • d)
        If N is a normal subgroup of G and H is any subgroup of G then NH is normal subgroup of G.
      Correct answer is option 'A,B,C'. Can you explain this answer?

      Chirag Verma answered
      Every subgroup of an abelian group is normal as for every x ∈ G and h ∈ H
      Every subgroup of cyclic group is normal and intersection of two normal subgroups is normal subgroup again.
      If N is a normal subgroup of G and H is any subgroup of G then NH is a subgroup of G but NH is necessarily not normal.

      ___________ is the order of {3} in the multiplicative group of integers modulo 5.
        Correct answer is '4'. Can you explain this answer?

        Chirag Verma answered
        The identity of the multiplicative group of integers modulo 5 is {1}. 
        Here
        {3}.5{3} = 4 * {1} [•, 3.3 0 4 (mod 5)]
        ∴ {3}.5{3}.5{3} = {4}.5{3} = {2} * {1} [∵, 4.30 2 (mod 5)]
        ∴{3}.5{3}.5{3}.5{3} = {2}.5{3} = {1} [∵, 2.30 (mod 5)]
        Hence, the order of {3} is 4.

        Let G be a group of order 143, then the centre of G is isomorphic to
        • a)
          Z
        • b)
          Z11
        • c)
          Z13
        • d)
          Z143
        Correct answer is option 'D'. Can you explain this answer?

        Chirag Verma answered
        O(G) = 143
        i.e. O(G) =11 x 13 (p < q)
        Here.O(G) = pq , p < q and p X q -1, so G be a cyclic group of order 143 and every cyclic group is an abelian group.
        Hence G is an abelian group, if G be an abelian group then centre of G is equal to group G.
        G = Z(G) [∵ G is an abelian]
        i.e. O[Z(G)] = 143 so Z(G) is isomorphic to Z143.

        If G is a group, Z its center and if G/Z is cyclic then G
        • a)
          must be abelian
        • b)
          must be non abelian
        • c)
          must be normal subgroup
        • d)
          must be subgroup
        Correct answer is option 'A'. Can you explain this answer?

        Chirag Verma answered
        We have given that G/Z is a cyclic group, so let Zg is a generator of the cyclic group G/Z, where g ∈ G.
        W e now show that G is an abelian group i.e.,
        Since a ∈ G, so Za ∈ G/Z. But G/Z is a cyclic group which is gen era ted by Zg. Thus there exists an integer m such that
        Za = (Zg)m = Zgm [∵ Z is a normal subgroup of G]
        Again 
        a ∈ Za and Za = Zgm ⇒ a ∈ Z gm.
        Now
        a ∈ Z g m ⇒ z1 ∈ Z such that a ∈ z1 gm
        Similarly, for b ∈ G, b = zgn, where z2 ∈  z and n is any integer.
        Now
        Again

        Let GL(2, Z5) is a group for multiplication of matrix operation such that ad - be ≠ 0 then order of the group GL(2,Z5) is
          Correct answer is '480'. Can you explain this answer?

          Chirag Verma answered
          We know that the order of general linear group GL(n, Zp) is
          = (Pn-1) (Pn - P) (Pn - P2)_____ (Pn - Pn-1)
          Here P = 5 , n = 2 
          0[GL(2,Z5)] = (52 - 1) (52 - 5)
          = 24 x 20 
          = 480

          Find the total number of cyclic subgroups of order 10 in
            Correct answer is '6'. Can you explain this answer?

            Veda Institute answered
            Case - I
            |a|= 10 and|b| = 1 or 5. since z100 has a unique cyclic subgroup of order 10 and cyclic group of order 10 has four generators, i.e. there are four choices for a Similarly, there are five choices for b. This gives 20 possibilities for (a,b).
            Case - II lal = 2 and|b| = 5 .
            Since any finite cyclic group of even order has a unique subgroup of order 2, there is only one choice for a.
            So, obviously there are four choices for b.
            Hence  has 24 elements of order 10. Because each cyclic subgroup of order 10 has four elements of order 10 and no two of the cyclic subgroups can have an element of order 10 in common. There must be 24/4 = 6 cyclic subgroups of order 10.

            Let G be a group of 35 elements. Then the largest possible size of a subgroup of G other than G itself is ______.
            Correct answer is '7'. Can you explain this answer?

            Chirag Verma answered
            Group G has 35 elements, i.e. its order is 35
            So, possible subgroup sizes can be 1, 5, 7, 35.
            Thus the largest possible size of subgroup other than G itself (proper subgroup) is 7.

            Let T = { z ∈ c : | z | = 1} then (T, x) is a group which o f the following are not subgroup of (T, x)
            • a)
              ({1, -1, i, -i}, x)
            • b)
              ({1.-1}. X)
            • c)
            • d)
              None of these
            Correct answer is option 'D'. Can you explain this answer?

            Mister Genius answered
            If T = {z ∈ s c : | z | = 1} then (T, x) is said to be a circle group All though the circle group has infinite order it has many finite subgroups as the complex numbers satisfying the equation zn = 1 are called the nth root of unity. They are

            Which one of the following is a group?
            • a)
              (N, *) where a * b = a for all a, b ∈ N
            • b)
              (Z, *) where a + b = a - b for all a, b ∈ Z
            • c)
              (Q, *) where a * b = ab/2 for all a, b ∈ Q
            • d)
              (R, *) where a + b = a + b + 1 for all a, b ∈ R
            Correct answer is option 'D'. Can you explain this answer?

            Chirag Verma answered
            (N, *) where 
            closure property a* b = a ∈ N
            Associativity (a * b) * c = a * c = a
            a * (b * c) = a * b = a
            a * (b * c) = a * b = a
            identity
            a * e = a
            a = a
            ⇒ there does not exist identity
            ⇒ (N, *) is not a group.
            (B) (Z, *) where a * b = a - b for all a, b ∈Z (Z, *) is a group if all four properties of the group are satisfied. These properties are
            (1) Closure property : If a, b ∈ Z, then a * b = a - b∈Z => closure property is satisfied
            (2) Associativity => If a, b, c ∈ Z, then (a * b) * c = (a - b) * c = a - b - c ...(i)
            and a*(b*c) = a * ( b - c ) = a - ( b - c ) = a - b + c ...(ii)
            Hence by Eqs. (i) and (ii) (a * b) * c≠a*(b*c)
            Hence the property of associativity is not satisfied.
            => (Z, *) is not a group.
            (C) (Q, *) where  for all a, b ∈ Q. This is not a group since inverse of element 0 ∈ Q does not exist.
            For; identity => let identity is e, then a * e = a, let a ≠ o .
            ⇒ if a ≠ 0 then e = 2, Thus if a = 0 then e cannot be 2
            ⇒ inverse of a = 0 does not exist. Hence it is not a group
            (D) (R, *) w here a * b = a + b + 1 ,a , b ∈ R This is a g roup with identity given as a *
            e = a + e +1 = a
            ⇒ a + e + 1 = a
            ⇒ e + 1 = a - a
            ⇒ e + 1 =0
            ⇒ e = - 1
            Since - 1 ∈ Q, so e ∈ Q, So (R, *) is a group with identity - 1 .

            If f(x) = (x2 - 1) |x2 - 3x + 2| + cos|x| then the set of point of non-differentiability is,
            • a)
              {1,0,2}
            • b)
              {1,2}
            • c)
              {2}
            • d)
              {0,2}
            Correct answer is option 'C'. Can you explain this answer?

            Veda Institute answered




            Clearly the rule of the function is changing of x = 1 and 2.
            So we shall test the differentiability of f(x) only at the points x = 1 and x = 2.
            clearly Rf '(1) - Lf'(1)
            and Rf*(2) ≠ Lf'(2)
            hence f(x) is not differentiable at x = 2.

            Number of generators of group Z16
            • a)
              7
            • b)
              8
            • c)
              9
            • d)
              16
            Correct answer is option 'B'. Can you explain this answer?

            Chirag Verma answered
            Since Z16 = {0, 1 , 2 ..... . 15}
            The numbers 1, 3, 5, 7, 9, 11, 13,15 are the elements of Z16 that are relatively prime to 16. Each of these elements generates Z16.
            So no. of generators = 8

            Which of the following is a 2 -dimensional subspace of R3 over R ?
            • a)
            • b)
            • c)
            • d)
            Correct answer is option 'D'. Can you explain this answer?

            Chirag Verma answered
            Here (a) be a subspace but basis of it is {(0. 1, 0)} so it be a subspace of dimension 1.
            (b), (c) are not subspace, so they don't have dim.
            Now (d) be a subspace and its basis is {(0, 0. 1) (0, 1. 0)} so it be a subspace with dimension 2.

            How many numbers satisfied the equation x ≌ 7 (mod 17), where x in the range 1 < x < 100.
            • a)
              4
            • b)
              5
            • c)
              6
            • d)
              7
            Correct answer is option 'C'. Can you explain this answer?

            The equation x ≡ 7 (mod 17) can be rewritten as x = 17k + 7, where k is an integer.

            To find the range of x, we can substitute the given range 1 ≤ x ≤ 100 into the equation:

            1 ≤ 17k + 7 ≤ 100
            Subtracting 7 from all parts of the inequality:
            -6 ≤ 17k ≤ 93
            Dividing by 17:
            -6/17 ≤ k ≤ 93/17
            Since k must be an integer, we can round down the lower bound and round up the upper bound:
            -1 ≤ k ≤ 5

            Now we can find the number of values of x within this range:
            For k = -1, we have x = 17(-1) + 7 = 0, which is not within the given range.
            For k = 0, we have x = 17(0) + 7 = 7.
            For k = 1, we have x = 17(1) + 7 = 24.
            For k = 2, we have x = 17(2) + 7 = 41.
            For k = 3, we have x = 17(3) + 7 = 58.
            For k = 4, we have x = 17(4) + 7 = 75.
            For k = 5, we have x = 17(5) + 7 = 92.

            Therefore, there are 6 numbers (7, 24, 41, 58, 75, 92) that satisfy the equation x ≡ 7 (mod 17) within the given range 1 ≤ x ≤ 100.

            Let T : V → w be a linear transformation, where V is a finite dimensional vector space. Let B be a subspace of W, then
            • a)
              T-1 (B) = φ
            • b)
              T-1 (B) is a subspace of V
            • c)
              dim ( ker T ) ≤ dim (T-1 (B))
            • d)
              dim(T-1 (B)) ≤ dim (ker T)
            Correct answer is option 'B,C'. Can you explain this answer?

            Be a linear operator on a finite-dimensional vector space V. Suppose that the only eigenvalues of T are scalars λ1, λ2, ..., λk. Prove that the characteristic polynomial of T is equal to (x - λ1)(x - λ2)...(x - λk).

            Proof:

            Let n be the dimension of V. Since T is a linear operator on V, we can represent T by a matrix A with respect to some basis of V. Let {v1, v2, ..., vn} be a basis of V. Then we can write Tvj as a linear combination of {v1, v2, ..., vn} for each j = 1, 2, ..., n.

            Suppose that λ is an eigenvalue of T and let v be an eigenvector corresponding to λ. Then we have Tv = λv. Writing v as a linear combination of {v1, v2, ..., vn}, we have v = a1v1 + a2v2 + ... + anvn for some scalars a1, a2, ..., an.

            Now, applying T to both sides of the equation, we have Tv = T(a1v1 + a2v2 + ... + anvn). By linearity of T, this becomes λv = a1Tv1 + a2Tv2 + ... + anTvn.

            Since {v1, v2, ..., vn} is a basis, we can express each Tvi as a linear combination of {v1, v2, ..., vn}. Let Tvi = b1v1 + b2v2 + ... + bnvn for each i = 1, 2, ..., n.

            Substituting these expressions into the equation above, we have λ(a1v1 + a2v2 + ... + anvn) = a1(b1v1 + b2v2 + ... + bnvn) + a2(b1v1 + b2v2 + ... + bnvn) + ... + an(b1v1 + b2v2 + ... + bnvn).

            Expanding both sides and regrouping terms, we have (λ - b1)a1v1 + (λ - b2)a2v2 + ... + (λ - bn)anvn = 0.

            Since {v1, v2, ..., vn} is linearly independent, the coefficients of each vi must be zero. This gives us a system of n linear equations in the variables a1, a2, ..., an. Since v is nonzero, at least one of the ai must be nonzero.

            Since λ is an eigenvalue, the system of equations above has a nonzero solution. This means that the determinant of the coefficient matrix of the system is zero. Therefore, we have (λ - b1)(λ - b2)...(λ - bn) = 0.

            Since λ can be any eigenvalue of T, we have the characteristic polynomial of T as (x - λ1)(x - λ2)...(x - λk), where λ1, λ2, ..., λk are the eigenvalues of T.

            If G be an one empty set
            (1) a(bc) = (ab)c for all a, b, c ∈ G
            (2) For any a, b ∈ G, the equations ax = b and ya = b have solutions in G. 
            then
            • a)
              <G, •> is not group
            • b)
              <G. •> is a group
            • c)
              <G,•> is a sub group
            • d)
              <G, •> is not a sub group.
            Correct answer is option 'B'. Can you explain this answer?

            Veda Institute answered
            Let (1) and (2) hold. To show G is a group, we need prove existence of identity and
            Let a ∈ G be any element inverse.
            By (2) the equations ax = a
            ya = a
            have solutions in G.
            Let x = e and y = f be the solutions.
             ae = a
            fa = a
            Let now b e G be any element then again by (2) some x, y in G s.t.,
            ax = b
            ya = b.
            Now ax = b ⇒ f.(a.x) = f.b
            ⇒ (f.a).x = f.b
            ⇒ a.x = f.b
            ⇒ b = f.b
            Again y.a = h
            ⇒ (y.a).e = b.e
            ⇒y.(a.e) = b.e
            ⇒ y.a = be
            ⇒ b = be
            thus we have b = fb ... (i)
            b = be ... (ii)
            for any b ∈ G
            Putting b = e in (i) and b = f in (ii) we get
            e = fe
            f = fe
            ⇒ e = f.
            Hence ae = a = fa = ea
            i.e., e ∈ G, s.t., ae = ea = a
            ⇒ e is identity.
            Again, for any a ∈ G, and (the identity) e ∈ G, the equations ax = e and ya = e have solutions.
            Let the solutions be x = a1, and y = a2
            then aa1 = e,
            a2a = e
            Now a1 = ea1 = (a2a)a1 = a2(aa1) = a2e = a2.
            Hence aa1 = e = a1a for any a ∈ G
            i.e., for any a ∈ G, some a1 ∈ G satisfying the above relations ⇒ a has an inverse. Thus each element has inverse and, by definition, G forms a group.

            Total number of non abelian groups of order 23 . 34. 5 is __________.
              Correct answer is '15'. Can you explain this answer?

              Veda Institute answered
              Partitions of 3 are three namely 
              3 = 3,2 + 1, 1 +1 +1.
              Partition of 4 are five namely 
              4 = 4, 3 + 1, 2 + 2, 2 + 1 +1, 1 +1 +1 +1. 
              Partition of 1 is only one 1 = 1 
              Thus there are (I) non isomorphic abelian group of order 2. 
              (II) five non isomorphic abelian group of order 34. and 
              (III) One abelian group of order 5.
              Hence total number of non abelian group of order
              23. 34. 5 = 3 x 5 x 1 = 1 
              =15

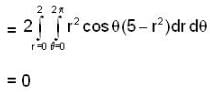
              The area between the curves y = xex and y = xe-x and the line x = 1 is __________ ( Write upto Four decimal Places)
              Correct answer is '0.7357'. Can you explain this answer?

              Chirag Verma answered
              The line x = 1 meets the curves in (1,e) and B(1, 1/e). The second curve is lower cuive as ordinate of B is less than ordinate of A.
              Both the curves pass through origin.
               
              = 0.7357

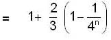
              Let  then, which of the follwing is not true ?
              • a)
                f(x) is monotonically increases in 
              • b)
                f(x) is monotonically decreases in 
              • c)
                f(x) is monotonically value of f(x) is  25/3
              • d)
                The minimum value of f(x) is 0
              Correct answer is option 'C'. Can you explain this answer?

              Veda Institute answered
              we have 
              clearly when
              and f'(x) < 0
              f is decreasing in 
              Now at x = -1, sign of f changes from -ive to +ive
              => at x = -1, f has minimum.
              => min f = 0 at x = 4 also f has minimum.
              => only option (c) is not true.

              Which one of the following statements is true?
              • a)
                Every permutation is a cycle
              • b)
                Every cycle is a permutation
              • c)
                Sn is not cyclic for all n
              • d)
                Every permutations s ∈ Sn can be written as product of (n - 1) transposition
              Correct answer is option 'B,C,D'. Can you explain this answer?

              Chirag Verma answered
              We know that every cycle is permutation but every permutation is not a cycle and it is also true that Sn is not cyclic for all n and every permutation s ∈ Sn can be written as product of (n -1) transposition.

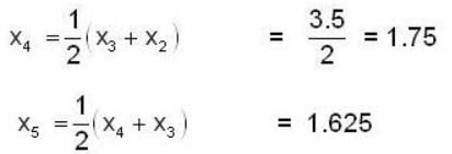
                Correct answer is '1'. Can you explain this answer?

                Veda Institute answered


                apply L-Hospital Rule, we get 

                again apply L-Hospital Rule, we get


                Chapter doubts & questions for Practice Test for IIT Jam Mathematics - IIT JAM Mathematics Mock Test Series 2025 is part of Mathematics exam preparation. The chapters have been prepared according to the Mathematics exam syllabus. The Chapter doubts & questions, notes, tests & MCQs are made for Mathematics 2025 Exam. Find important definitions, questions, notes, meanings, examples, exercises, MCQs and online tests here.

                Chapter doubts & questions of Practice Test for IIT Jam Mathematics - IIT JAM Mathematics Mock Test Series in English & Hindi are available as part of Mathematics exam. Download more important topics, notes, lectures and mock test series for Mathematics Exam by signing up for free.

                Top Courses Mathematics