All questions of Height & Distance for SSC MTS / SSC GD Exam

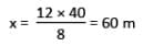
A vertical stick 12 cm long casts a shadow 8 cm long on the ground. At the same time, a tower casts a shadow 40 m long on the ground. The height of the tower is
  • a)
    72 m
  • b)
    60 m
  • c)
    65 m
  • d)
    70 m
Correct answer is option 'B'. Can you explain this answer?

EduRev SSC CGL answered
We can solve it through ratio proportion rule,
let the tower is x m long, then
12 cm stick casts → 8 cm shadow
x m tower casts → 40 m shadow
On cross multiplying, we get

Hence, option B is correct.

Directions: Study the following questions carefully and choose the right answer:
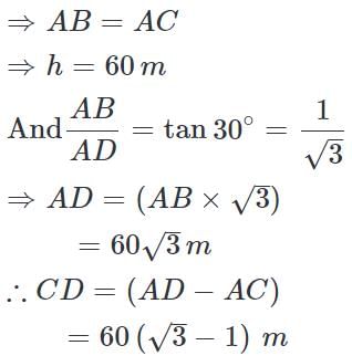
A telegraph post gets broken at a point against a storm and its top touches the ground at a distance 20 m from the base of the post making an angle 30° with the ground. What is the height of the post?
  • a)
    40/√3 m
  • b)
    20√3 m
  • c)
    40√3 m
  • d)
    30 m
  • e)
    35 m
Correct answer is option 'B'. Can you explain this answer?


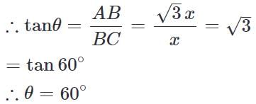
Given, BC = 20 m
∠ACB = 30°
Total height of the telegraph post is (AB + CA) = ?
In Δ ABC, tan 30° =  AB / BC
1 / √3 = AB / 20
∴ AB = 20 / √3m
Now, cos 30º = BC / AC
√3 / 2 = 20 / AC
∴ AC = 40 /√3 m
So, AB + CA = (20 / √3) + (40 / √3) = (60 / √3)
= 20 √3 m
Hence, option B is correct.

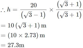
When the sun's altitude changes from 30° to 60°, the length of the shadow of a tower decreases by 70m. What is the height of the tower?
  • a)
    35 m
  • b)
    140 m
  • c)
    60.6 m
  • d)
    20.2 m
  • e)
    160 m
Correct answer is option 'C'. Can you explain this answer?


Let AD be the tower, BD be the initial shadow and CD be the final shadow.
Given that BC = 70 m, ∠ ABD = 30°, ∠ ACD = 60°,
Let CD = x, AD = h
From the right ΔCDA


Substituting this value of x in eq : 1, we have

The angle of elevation of the sun, when the length of the shadow of a tree is equal to the height of the tree, is:
  • a)
    30°
  • b)
    60°
  • c)
    45°
  • d)
    50°
  • e)
    None of these
Correct answer is option 'C'. Can you explain this answer?


Consider the diagram shown above where QR represents the tree and PQ represents its shadow
We have, QR = PQ
Let ∠QPR = θ

i.e., required angle of elevation = 45°

Directions: Study the following questions carefully and choose the right answer:
The shadow of a tower is 15 m when the sun’s elevation is 30°. What is the length of the shadow when the sun’s elevation is 60°?
  • a)
    3 m
  • b)
    4 m
  • c)
    5 m
  • d)
    6 m
  • e)
    7 m
Correct answer is option 'C'. Can you explain this answer?


Given, ∠ADB = 30° and ∠ ACB = 60°

When the sun's elevation is 30°, the shaadow of tower is "BD = 15 m" and when the sun's elevation is 60°, the shadow of tower is "BC = ?"
Let, BC = x m
In ΔABD, tan 30° = AB/BD
1 / √3 = AB / 15
∴ AB = 15 / √3                           ....(i)
In ΔABC, tan 60° = AB/BC
√3 = AB / x
∴ AB = x √3        ...(ii)
From Eqs. (i) and (ii), we get
x√3 = 15 / √3
x = 5 m
Hence, optjon C is correct.

Due to sun, a 6ft man casts a shadow of 4ft, whereas a pole next to the man casts a shadow of 36ft. What is the height of the pole?
  • a)
    63 ft
  • b)
    72 ft
  • c)
    54 ft
  • d)
    48 ft
  • e)
    50 ft
Correct answer is option 'C'. Can you explain this answer?

Both the man and pole are near each other and are illuminated by same sun from same direction.

So angle of elevation for sun is same for both.
So ration of object to shadow will be same for all objects. (Proportionality Rule)

∴ H = 54 ft = Height of pole

The distance between two pillars of length 16 metres and 9 metres is x metres. If two angles of elevation of their respective top from the bottom of the other are complementary to each other, then the value of x (in metres) is
  • a)
    15
  • b)
    16
  • c)
    12
  • d)
    9
Correct answer is option 'C'. Can you explain this answer?

Ssc Cgl answered

Given, AB = 16 m, CD = 9 m and BC = x metre
And, ∠ACB and ∠CBD are complementary.
∴ Let, ∠ACB = Θ and ∠CBD = (90° – Θ)
In ΔABC,

Now, In ΔBCD,

[∵ tan (90° – Θ) = cot Θ]
By multiplying eq. (i) & (ii),

x = 12 m
Hence, option C is correct.

Directions: Study the following questions carefully and choose the right answer:
The angles of depression of two ships from the top of a light house are 45° and 30° towards east. If the ships are 200 m apart, find the height of the light house.
  • a)
    100 m
  • b)
    173 m
  • c)
    200 m
  • d)
    273 m
  • e)
    274 m
Correct answer is option 'D'. Can you explain this answer?


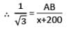
Given,
∠ ACB = 45°
∠ ADB = 30°
and distance between two ships, i.e.,
CD = 200 m
Then, AB = ?
Let BC = x m
In ΔABC,
tan 45º = AB /BC
(∵ tan 45° = 1)
1 = AB / x
∴ AB = x m ....(i)
In ΔABD, tan30º = AB / BD
∴ 1 / √3 = AB / (x + 200)
(∵ tan 30° = 1/√3 )
x = √3, AB – 200 ....(ii)
From Eqs. (i) and (ii),
AB = √3AB – 200
√3 AB – AB = 200
0.732 AB = 200
(∵ √3 = 1.732)
AB = 200 / 0.732 = 273 .22
= 273 m
Hence, option D is  correct.

A man is watching from the top of a tower a boat speeding away from the tower. The boat makes an angle of depression of 45° with the man's eye when at a distance of 100 metres from the tower. After 10 seconds, the angle of depression becomes 30°. What is the approximate speed of the boat, assuming that it is running in still water?
  • a)
    26.28 km/hr
  • b)
    32.42 km/hr
  • c)
    24.22 km/hr
  • d)
    31.25 km/hr
  • e)
    33.20 km/hr
Correct answer is option 'A'. Can you explain this answer?


Consider the diagram shown above.
Let AB be the tower. Let C and D be the positions of the boat
Then, ∠ ACB = 45°, ∠ ADC = 30°, BC = 100 m

(∵ Substituted the value of AB from equation 1)

It is given that the distance CD is covered in 10 seconds.
i.e., the distance 100 (√3 - 1) is covered in 10 seconds.
Required speed

Directions: Study the following questions carefully and choose the right answer:
From the top of a cliff 90 m high, the angles of depression of the top and bottom of a tower are observed to be 30° and 60°, respectively. What is the height of the tower?
  • a)
    30 m
  • b)
    45 m
  • c)
    60 m
  • d)
    75 m
  • e)
    80 m
Correct answer is option 'C'. Can you explain this answer?


Given, AB = 90 m
∠ADE = 30°
And ∠ACB = 60°
Then, DC = ?
Ratio of angles,
tan 30º / tan 60º = (AE / ED) / (AB / BC)
[∵ ED = BC]
(1 / √3) / √3 = AE / 90
1 / 3 = AE / 90
AE = 30 m
Now, DC = EB
= AB – AE
= 90 – 30 = 60 m
Hence, option C is correct.

From a tower of 80 m high, the angle of depression of a bus is 30°. How far is the bus from the tower?
  • a)
    40 m
  • b)
    138.4 m
  • c)
    46.24 m
  • d)
    160 m
  • e)
    180 m
Correct answer is option 'B'. Can you explain this answer?


Let AC be the tower and B be the position of the bus.
Then BC = the distance of the bus from the foot of the tower.
Given that height of the tower, AC = 80 m and the angle of depression, ∠DAB = 30°
∠ABC = ∠DAB = 30° (because DA || BC)

i.e., Distance of the bus from the foot of the tower = 138.4 m

The angle of elevation of the top of a lighthouse 60 m high, from two points on the ground on its opposite sides are 45° and 60°. What is the distance between these two points?
  • a)
    45 m
  • b)
    30 m
  • c)
    103.8 m
  • d)
    94.6 m
  • e)
    100 m
Correct answer is option 'D'. Can you explain this answer?


Let BD be the lighthouse and A and C be the two points on ground.
Then, BD, the height of the lighthouse = 60 m
∠BAD = 45°, ∠BCD = 60°


Distance between the two points A and C
= AC = BA + BC
= 60 + 34.6 [∵ Substituted value of BA and BC from (i) and (ii)]
= 94.6 m

The tops of two poles of height 20 m and 14 m are connected by a wire. If the wire makes an angle of 30° with horizontal, then the length of the wire is
  • a)
    12 m
  • b)
    10 m
  • c)
    8 m
  • d)
    6 m
  • e)
    7 m
Correct answer is option 'A'. Can you explain this answer?

Let AB and CD be two poles
AB = 20 m, CD = 14 m
A and C are joined by a wire
CE || DB and angle of elevation of A is 30°
Let CE = DB = x and AC = L

Now AE = AB - EB = AB - CD = 20 - 14 = 6 m
Now in right ΔACE,

Two poles of heights 6 m and 11 m stand vertically upright on a plane ground. If the distance between their feet is 12 m, what is the distance between their tops?
  • a)
    11 m
  • b)
    12 m
  • c)
    13 m
  • d)
    14 m
Correct answer is option 'C'. Can you explain this answer?

Iq Funda answered

Given that ther are two poles
AE = 11 m and, CD = 6 m
∴ BE = 6 m
[∵CD = BE]
∴ AB = AE – BE = 11 – 6 = 5m
distance between their feet
ED = 12 m
∴ BC = 12 m [∵ED = BC] Now, AC = ?
In ΔABC,
From Pythagorus theorum,
AC2 = AB2 + BC2
AC2 = 52 + 122
AC2 = 25 + 144 = 169
AC = √169
AC = 13
Hence, option C is correct.

The angles of depression of two ships from the top of a light house are 45° and 30° towards east. If the ships are 200 m apart, find the height of the light house.
  • a)
    100 m
  • b)
    173 m
  • c)
    200 m
  • d)
    273 m
Correct answer is option 'D'. Can you explain this answer?

T.S Academy answered

Given, ∠ ACB = 45°
∠ ADB = 30°
and distance between two ships, i.e.,
CD = 200 m
Then, AB = ?
Let BC = x m
In ΔABC, tan 45° = AB/BC
(∵ tan 45° = 1)
1 = AB/x
∴ AB = x m ....(i)
In ΔABD, tan30° = AB/BD

(∵ tan 30° = 1/√3 )
x = √ AB – 200 ...(ii)
From Eqs. (i) and (ii),
AB = √ AB – 200
√ AB – AB = 200
0.732 AB = 200
(∵√ = 1.732)

= 273 m
Hence, option D is correct.

The shadow of a tower is 15 m when the sun’s elevation is 30°. What is the length of the shadow when the sun’s elevation is 60°?
  • a)
    3 m
  • b)
    4 m
  • c)
    5 m
  • d)
    6 m
Correct answer is option 'C'. Can you explain this answer?

EduRev SSC CGL answered

Given, ∠ADB = 30° and ∠ ACB = 60°
When the sun's elevation is 30°, the shadow of tower is "BD = 15 m" and when the sun's elevation is 60°, the shadow of tower is "BC = ?"
Let, BC = x m In ΔABD, tan 30° = AB/BD

In ΔABC, tan 60° = AB/BC
√3 = AB/x
∴ AB = x √3 ...(ii)
From Eqs. (i) and (ii), we get
x √3 = 15/√3
x = 5 m
Hence, option C is correct.

The angle of elevation of the top of a building from the top and bottom of a tree are x and y respectively. If the height of the tree is h metre, then (in metre) the height of the building is
  • a)
  • b)
  • c)
  • d)
Correct answer is option 'C'. Can you explain this answer?

EduRev SSC CGL answered

Given, the height of the tree, CD = h metre
Let, the height of the building, AB = H metre
And, BC = a metre
∴ AE = AB – EB = (H – h) metre [∵ CD = BE]
In ΔABC,

a = H cot y ...(i)
Now, in ΔADE,

a = (H – h) cot x ...(ii)
From equations (i) and (ii),
H cot y = (H – h) cot x = H cot x – h cot x
H(cot x – cot y) = h cot x

∴ The height of the building

Hence, option C is correct.

The angle of elevation of the top of a tower from a point A on the ground is 30°. On moving a distance of 20 metres towards the foot of the tower to a point B, the angle of elevation increases to 60°. The height of the tower is
  • a)
    √3 m
  • b)
    5√3 m
  • c)
    10√3 m
  • d)
    20√3 m
Correct answer is option 'C'. Can you explain this answer?


Given, AB = 20 m
Let, the height of the tower = h metre
And, BC = x metre
∴ AC = AB + BC = (20 + x) m
In ΔACD,

h = (h √3 – 20) √3 [From eq. (i)]
h = 3h – 20 √3
2h = 20 √3
h = 10 √3
∴ The height of the tower is 10 √3 meter.
Hence, option C is correct.

Directions: Study the following questions carefully and choose the right answer:
The angle of elevation of the top of an unfinished pillar at a point 150 m from its base is 30°. If the angle of elevation at the same point is to be 45°, then the pillar has to be raised to a height of how many metres?
  • a)
    59.4 m
  • b)
    61.4 m
  • c)
    62.4 m
  • d)
    63.4 m
  • e)
    64.4 m
Correct answer is option 'D'. Can you explain this answer?


Given, BC = 150 m
∠ACB = 30°
and, ∠DCB = 45°
Then, AD = ?
In ΔABC, tan 30° = AB / BC
1 / √3 = AB / 150
∴ AB = 150 / √3 = 86.6m
In ΔDBC, tan 45° = DB / BC
1 = DB / 150
DB = 150
AD + AB = 150
[∵ DB = AD + AB]
∴ AD = 150 – AB
= 150 – 86.6 = 63.4m
Hence, option D is correct.

From the top of a cliff 25 m high the angle of elevation of a tower is found to be equal to the angle of depression of the foot of the tower. The height of the tower is
  • a)
    25 m
  • b)
    50 m
  • c)
    75 m
  • d)
    100 m
  • e)
    110 m
Correct answer is option 'B'. Can you explain this answer?

Let AB be the tower and CD be cliff Angle of elevation of A is equal to the angle of depression of B at C
Let angle be Q and CD = 25 m

Let AB = h
CE || DB
∴ EC = DB = x (suppose)
EB = CD = 25
∴ AE = h − 25
Now in right ΔCDB,

Chapter doubts & questions for Height & Distance - Quantitative Aptitude for Competitive Exams 2025 is part of SSC MTS / SSC GD exam preparation. The chapters have been prepared according to the SSC MTS / SSC GD exam syllabus. The Chapter doubts & questions, notes, tests & MCQs are made for SSC MTS / SSC GD 2025 Exam. Find important definitions, questions, notes, meanings, examples, exercises, MCQs and online tests here.

Chapter doubts & questions of Height & Distance - Quantitative Aptitude for Competitive Exams in English & Hindi are available as part of SSC MTS / SSC GD exam. Download more important topics, notes, lectures and mock test series for SSC MTS / SSC GD Exam by signing up for free.