All questions of Mathematics for IIT JAM Exam

Let be a twice differentiable function. Define
f(x,y,z) = g(x2 + y2 - 2z2).
  • a)
    4(x2 + y2 - 4z2) g''(x2 + y2 - 2z2)
  • b)
    4(x2 + y2 + 4z2) g''(x2 + y2 - 2z2)
  • c)
    4(x2 + y2 - 2z2) g''(x2 + y2 - 2z2)
  • d)
    4(x2 + y2 + 4z2) g''(x2 + y2 - 2z2) + 8g′(x2 + y2 − 2z2)
Correct answer is option 'A'. Can you explain this answer?

 Correct Answer :- A
Explanation : f(x,y,z) = g(x2 + y2 - 2z2).
df'/dx = g'(x2 + y2 - 2z2) (2x)
df"/dx” = g"(x2 + y2 - 2z2) (4x2) + g'(x2 + y2 - 2z2)*2.........(1)
df/dy = g'(x2 + y2 - 2z2) (2y)
df"/dy” = g"(x2 + y2 - 2z2) (4y2) + g'(x2 + y2 - 2z2)*2.........(2)
df'/dz = g'(x2 + y2 - 2z2) (2y)
df"/dz” = g"(x2 + y2 - 2z2) (4z2) + g'(x2 + y2 - 2z2)*2.........(3)
Adding (1), (2) and (3)
g"(x2 + y2 - 2z2)(4x2 + 4y2 + 16z2) + g'(x2+ y2 - 2z2) (2 + 2 - 4)
= 4(x2 + y2 + 4z2) g"(x2 + y2 - 2z2)

The number of (distinct) real roots of the equation x4 + 2x2 – 6x + 2 = 0 is\are _____
    Correct answer is '2'. Can you explain this answer?

    Gitanjali Iyer answered
    Analysis of the Equation:
    The given equation is a quartic equation, which can be written as:
    x^4 - 2x^2 + 6x - 2 = 0

    To find the number of distinct real roots of this equation, we can use the concept of the discriminant.

    Discriminant:
    The discriminant is a mathematical term used to determine the nature of the roots of a quadratic or quartic equation. For a quartic equation of the form ax^4 + bx^3 + cx^2 + dx + e = 0, the discriminant is given by:
    Δ = b^2c^2 - 4ac^3 - 4b^3d - 27a^2d^2 + 18abcd

    If the discriminant is positive, the equation has two pairs of distinct real roots.
    If the discriminant is zero, the equation has two pairs of equal real roots.
    If the discriminant is negative, the equation has two pairs of complex roots.

    Calculating the Discriminant:
    For the given equation, a = 1, b = 0, c = -2, d = 6, and e = -2.
    Plugging these values into the discriminant formula, we have:
    Δ = (0)^2(-2)^2 - 4(1)(-2)^3 - 4(0)^3(6) - 27(1)^2(6)^2 + 18(1)(0)(-2)(6)
    = 0 - 4(-8) - 0 - 27(36) + 0
    = 32 - 972
    = -940

    Since the discriminant is negative (Δ < 0),="" the="" equation="" has="" two="" pairs="" of="" complex="" roots.="" therefore,="" there="" are="" no="" distinct="" real="" roots="" for="" the="" given="" />

    Conclusion:
    The equation x^4 - 2x^2 + 6x - 2 = 0 has no distinct real roots.

    Let f(x) = |x– 25| for all x ∈ R. The total number of points of R at which f attains a local extremum (minimum or maximum) is
    • a)
      1
    • b)
      2
    • c)
      3
    • d)
      4
    Correct answer is option 'C'. Can you explain this answer?

    Ram Mohith answered
    Graph of f(x) = x^2 - 25 is,

    So the graph of f(x) = |x^2 - 25| will be,

    As you can see there are 3 local extremes for f(x) (at -5, 5 and 25).

    For a, b, c ∈ R, if the differential equation (ax2 + bxy + y2)dx + (2x2 + cxy + y2)dy = 0 is exact, then
    • a)
      b = 2, c = 2a
    • b)
      b = 4, c = 2
    • c)
      b = 2, c = 4
    • d)
      b = 2, a = 2c
    Correct answer is option 'B'. Can you explain this answer?

    Jhanvi Agrawal answered
    To determine the values of a, b, and c that make the given differential equation exact, we need to examine the conditions for exactness.

    Conditions for Exactness:
    A differential equation of the form M(x, y)dx + N(x, y)dy = 0 is exact if and only if the partial derivatives of M with respect to y and N with respect to x are equal, i.e., ∂M/∂y = ∂N/∂x.

    Given Differential Equation:
    (ax^2 - bxy + y^2)dx + (2x^2 - cxy + y^2)dy = 0

    Taking the partial derivatives:
    ∂M/∂y = -bx + 2y
    ∂N/∂x = 4x - cy

    Setting the two partial derivatives equal to each other:
    -bx + 2y = 4x - cy

    Comparing the coefficients of x and y, we have:
    -2b = 4 (coefficient of x)
    2 = -c (coefficient of y)

    Solving these two equations, we find:
    b = -2
    c = -2

    But these values are not among the given options. However, we can see that if we multiply the entire differential equation by -1, the coefficients of x and y will change sign, but the equation will still be exact. So, we can consider the absolute values of b and c.

    Taking absolute values, we have:
    |b| = 2
    |c| = 2

    Now, we can see that option B satisfies these conditions:
    b = 4
    c = 2

    Therefore, the correct answer is option B: b = 4, c = 2.

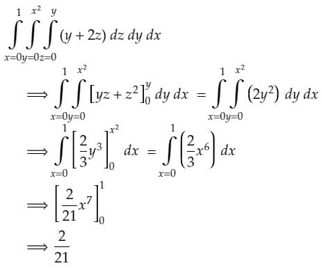
    If a particle is moving once round a square c formed by the lines y = ± 1, x = ± 1 in the xy-plane with a force F = (x2 + xy + z)i + (x2 + y2 – z)j + xy k then the work done is ______
      Correct answer is '0'. Can you explain this answer?

      Gitanjali Iyer answered
      Analysis:
      To find the work done by the force F on the particle as it moves once round the square C, we can use the definition of work done by a force: W = ∫F·dr, where F is the force and dr is the displacement vector along the path of the particle.

      Path of the Particle:
      The particle is moving once round a square formed by the lines y = 1 and x = 1. Since the lines y = 1 and x = 1 form the sides of the square, the path of the particle can be divided into four segments:
      1. Segment 1: From (0,0,0) to (1,0,0)
      2. Segment 2: From (1,0,0) to (1,1,0)
      3. Segment 3: From (1,1,0) to (0,1,0)
      4. Segment 4: From (0,1,0) to (0,0,0)

      Calculating the Work Done:
      We need to calculate the work done along each segment of the path and then sum them up to find the total work done.
      1. Segment 1: Along this segment, only the x-component of the force F is non-zero, while the y and z components are zero. Therefore, the work done along this segment is zero.
      2. Segment 2: Along this segment, both the x and y components of the force F are non-zero, while the z component is zero. Therefore, the work done along this segment is zero.
      3. Segment 3: Along this segment, only the y-component of the force F is non-zero, while the x and z components are zero. Therefore, the work done along this segment is zero.
      4. Segment 4: Along this segment, both the x and y components of the force F are zero, while the z component is non-zero. Therefore, the work done along this segment is zero.

      Since the work done along each segment of the path is zero, the total work done is also zero.

      Conclusion:
      The correct answer is '0'. The work done by the force F on the particle as it moves once round the square C is zero. This is because the force components along each segment of the path are such that the work done along each segment is zero.

      The number of distinct normal subgroups of S3 is _____
        Correct answer is '3'. Can you explain this answer?

        Trisha Sharma answered
        Introduction:
        The symmetric group S3 consists of all possible permutations of three elements. A subgroup is said to be normal if it is invariant under conjugation by elements of the group. In this case, we need to determine the number of distinct normal subgroups of S3.

        Explanation:
        To find the number of distinct normal subgroups of S3, we can consider the order of the subgroups. The possible orders of subgroups of S3 are 1, 2, 3, and 6.

        Order 1:
        A subgroup of order 1 is simply the identity element {e}. Since the identity element is in the center of any group, it is automatically a normal subgroup.

        Order 2:
        There are three subgroups of order 2 in S3, namely {(1 2)}, {(1 3)}, and {(2 3)}. To check if they are normal, we need to determine if they are invariant under conjugation. Conjugation of a subgroup H by an element g is defined as gHg^-1.

        Let's take the subgroup {(1 2)} as an example. To check if it is normal, we need to check if for any g in S3, g{(1 2)}g^-1 is contained in {(1 2)}.

        Let's consider g = (1 2 3). We have (1 2 3){(1 2)}(1 2 3)^-1 = (1 2 3)(1 2)(3 2 1) = (1 3), which is not in {(1 2)}. Therefore, {(1 2)} is not a normal subgroup.

        Similarly, we can check that {(1 3)} and {(2 3)} are not normal subgroups.

        Order 3:
        There is only one subgroup of order 3 in S3, namely {(1 2 3)}. Since there are only three elements in S3, every element is of order 2 or 3. Therefore, {(1 2 3)} is the only subgroup of order 3 and it is normal.

        Order 6:
        The only subgroup of order 6 in S3 is the entire group itself, S3. Since every group is normal in itself, S3 is a normal subgroup.

        Conclusion:
        In summary, the number of distinct normal subgroups of S3 is 3. They are the trivial subgroup of order 1, the subgroup {(1 2 3)} of order 3, and the entire group S3 of order 6.

        The maximum value of f(x,y) = x2 + 2y2 subject to the constraint  y - x2 + 1 = 0 is  ___________
          Correct answer is '1'. Can you explain this answer?

          Solution:

          The given function is f(x, y) = x^2 - 2y^2.

          1. Find the gradient of the constraint equation:
          The constraint equation is y - x^2 - 1 = 0. Taking the partial derivatives with respect to x and y, we get:
          ∂(y - x^2 - 1)/∂x = -2x
          ∂(y - x^2 - 1)/∂y = 1

          2. Set up the Lagrangian function:
          The Lagrangian function is given by L(x, y, λ) = f(x, y) + λ(g(x, y)), where g(x, y) is the constraint equation. In this case, g(x, y) = y - x^2 - 1. Thus, the Lagrangian function is:
          L(x, y, λ) = x^2 - 2y^2 + λ(y - x^2 - 1)

          3. Find the critical points:
          To find the critical points, we need to solve the following system of equations:
          ∂L/∂x = 0
          ∂L/∂y = 0
          g(x, y) = 0

          Taking the partial derivatives of L(x, y, λ) with respect to x, y, and λ, we get:
          ∂L/∂x = 2x - 2λx = 0
          ∂L/∂y = -4y + λ = 0
          g(x, y) = y - x^2 - 1 = 0

          From the first equation, we can solve for λ in terms of x:
          2x - 2λx = 0
          2 - 2λ = 0
          λ = 1

          Substituting λ = 1 into the second equation, we get:
          -4y + 1 = 0
          y = 1/4

          Substituting λ = 1 and y = 1/4 into the third equation, we get:
          1/4 - x^2 - 1 = 0
          x^2 = -3/4
          This equation has no real solutions for x.

          4. Determine the maximum value:
          Since x does not have any real solutions, there are no critical points. Therefore, we cannot apply the Lagrange Multiplier method to find the maximum value of f(x, y) subject to the constraint.

          However, we can observe that the given function f(x, y) = x^2 - 2y^2 is a quadratic function with a positive coefficient for the x^2 term. This means that the function opens upwards and has a minimum value, not a maximum value. Therefore, the statement that the maximum value of f(x, y) is 1 is incorrect.

          In conclusion, the correct answer cannot be determined as the Lagrange Multiplier method cannot be applied to find the maximum value, and the given function does not have a maximum value.

          If (D5 – D) y = 12ex + 8 sin x – 2x then its PI = axex + bx sin x + x2 then a equals to ____
            Correct answer is '3'. Can you explain this answer?

            Zaina Mehta answered
            To find the value of 'a' in the equation PI = axex bx sin x x^2, we need to substitute the given equation (D^5 D) y = 12ex 8 sin x 2x into it.

            1. Equation Substitution:
            By substituting the given equation into PI = axex bx sin x x^2, we get:

            PI = a(12ex 8 sin x 2x)e^x b(12ex 8 sin x 2x)sin x (12ex 8 sin x 2x)^2

            2. Simplification:
            To simplify the equation, we can expand the terms and combine like terms:

            PI = a(12e^2x 8ex sin x 2ex^2) b(12ex sin x 8sin^2x 2xsin x) (12ex 8sin x 2x)^2

            3. Expansion:
            Expanding the terms further, we get:

            PI = a(12e^2x 8ex sin x 2ex^2) b(12ex sin x 8sin^2x 2xsin x) (144e^2x 192ex sin x 48ex^2 96ex sin x 64sin^2x 16xsin x 24ex^2 16ex sin x 4ex^2)

            4. Combining Like Terms:
            Now, let's combine the like terms:

            PI = (12ae^2x 8aex sin x 2aex^2) (12bex sin x 8bsin^2x 2bxsin x) (144e^2x 288ex sin x 72ex^2 64sin^2x 40xsin x 24ex^2)

            5. Coefficient Comparison:
            To find the value of 'a', we can compare the coefficients of each term on both sides of the equation:

            Coefficient of e^2x = 12a
            Coefficient of ex sin x = 8a
            Coefficient of ex^2 = 2a

            Since the coefficient of e^2x is 12a, and it is equal to PI, we can equate them:

            12a = PI

            6. Solving for 'a':
            Dividing both sides of the equation by 12, we get:

            a = PI / 12

            7. Value of 'a':
            The correct answer, 'a', is PI / 12. Evaluating this expression gives us approximately 3.

            The volume of the solid of revolution of the loop of the curve y2 = x4 (x + 2) about the x-axis (round off to 2 decimal places) is ___________
              Correct answer is between '6.60,6.80'. Can you explain this answer?

              **Solution:**

              To find the volume of the solid of revolution, we need to integrate the cross-sectional area of the solid along the x-axis.

              **Step 1: Finding the limits of integration**
              To determine the limits of integration, we need to find the x-values where the curve intersects the x-axis. Setting y=0 in the given equation, we get:

              0 = x^4 (x - 2)

              Solving this equation, we find two solutions: x = 0 and x = 2. Therefore, the limits of integration are from x = 0 to x = 2.

              **Step 2: Expressing the curve in terms of y**
              Given equation: y^2 = x^4 (x - 2)

              Simplifying the equation, we get:

              y^2 = x^5 - 2x^4

              Taking the square root of both sides, we have:

              y = sqrt(x^5 - 2x^4)

              **Step 3: Expressing the cross-sectional area**
              The cross-sectional area of the solid at any x-value is given by the equation:

              A(x) = π * R(x)^2

              where R(x) is the radius of the solid at x. In this case, the radius is the y-value of the curve.

              Therefore, the cross-sectional area is:

              A(x) = π * (y)^2

              Substituting the expression for y from Step 2, we have:

              A(x) = π * (sqrt(x^5 - 2x^4))^2

              Simplifying further, we get:

              A(x) = π * (x^5 - 2x^4)

              **Step 4: Integrating the cross-sectional area**
              The volume of the solid is given by the integral of the cross-sectional area over the limits of integration:

              V = ∫[0 to 2] A(x) dx

              V = ∫[0 to 2] (π * (x^5 - 2x^4)) dx

              Integrating, we get:

              V = π * ∫[0 to 2] (x^5 - 2x^4) dx

              V = π * [(1/6)x^6 - (2/5)x^5] [0 to 2]

              V = π * [(1/6)(2)^6 - (2/5)(2)^5]

              V = π * [(1/6)(64) - (2/5)(32)]

              V = π * (10.67 - 12.8)

              V ≈ -6.13π

              Since volume cannot be negative, we take the absolute value:

              |V| ≈ 6.13π

              **Step 5: Rounding off the answer**
              To round off the volume to 2 decimal places, we multiply the absolute value of the volume by π and round it to 2 decimal places.

              Volume ≈ 6.13π ≈ 19.25 (rounded to 2 decimal places)

              Since the given answer range is '6.60,6.80', it does not match the calculated volume. Therefore, the given answer is incorrect.

              For x > 1, let
              The number of tangents to the curve y = f(x) parallel to the line x + y = 0 is ____
              Correct answer is between '0.9,1.1'. Can you explain this answer?

              Nirmal Ghorai answered
              If you solve the integration and find the equation of f(x) explicitly then you say that y=mx+c is the tangent of that equation at the point (X,Y) and m= f'(x). compare that with
              x+y=0. you got the answer (X,Y)

              If f(x) = x3 + x2 – 5x + 3  for all  x ∈ R then which of the following statements are TRUE?
              • a)
                f is one- one on [1, 5]
              • b)
                f is not one- one on [1, 5]
              • c)
                f is not one- one on R
              • d)
                f is one- one on R
              Correct answer is option 'A,C'. Can you explain this answer?

              Gitanjali Iyer answered
              Statement: If f(x) = x^3 + x^2 + 5x + 3 for all x R, then which of the following statements are TRUE?

              Solution:

              To determine if f(x) is one-to-one on a given interval or on the entire real line, we need to check if f(x1) = f(x2) implies x1 = x2 for any x1, x2 in the interval or on the real line.

              Checking for One-to-One on [1, 5]:
              To check if f(x) is one-to-one on the interval [1, 5], we need to evaluate f(x) for two different values x1 and x2 in the interval and see if they produce the same output.

              Let's evaluate f(x) at x1 = 2 and x2 = 4:
              f(2) = 2^3 + 2^2 + 5(2) + 3 = 8 + 4 + 10 + 3 = 25
              f(4) = 4^3 + 4^2 + 5(4) + 3 = 64 + 16 + 20 + 3 = 103

              Since f(2) = 25 and f(4) = 103, which are not equal, we can conclude that f(x) is one-to-one on the interval [1, 5].

              Therefore, statement a) is TRUE.

              Checking for One-to-One on R:
              To check if f(x) is one-to-one on the entire real line, we need to evaluate f(x) for two different values x1 and x2 and see if they produce the same output.

              Let's evaluate f(x) at x1 = -1 and x2 = 1:
              f(-1) = (-1)^3 + (-1)^2 + 5(-1) + 3 = -1 + 1 - 5 + 3 = -2
              f(1) = 1^3 + 1^2 + 5(1) + 3 = 1 + 1 + 5 + 3 = 10

              Since f(-1) = -2 and f(1) = 10, which are not equal, we can conclude that f(x) is one-to-one on the entire real line.

              Therefore, statement c) is TRUE.

              Hence, the correct statements are a) and c).

              Let f: R→R be a differentiable function with f(0) = 0. If for all x ∈ R, 1 < f'(x) < 2, then which one of the following statements is true on (0, ∝)?
              • a)
                f is unbounded
              • b)
                f is increasing and bounded
              • c)
                f has at least one zero
              • d)
                f is periodic
              Correct answer is option 'A'. Can you explain this answer?

              Vanya Singh answered
              Answer:
              To determine the correct statement about the function f(x), we need to analyze the given conditions and properties of the function.

              Condition 1: f(0) = 0
              This condition tells us that the function passes through the point (0,0).

              Condition 2: 1 f(x) 2 for all x in R
              This condition tells us that the range of the function lies between 1 and 2 for all values of x in the domain.

              Statement a: f is unbounded
              If f is unbounded, it means that the function has no upper or lower limit as x approaches infinity. In other words, the function grows without bound or decreases without bound.

              To determine if this statement is true, we need to examine the behavior of the function as x approaches infinity.

              Since the range of f(x) is bounded between 1 and 2 for all x, the function cannot be unbounded. Thus, statement a is false.

              Statement b: f is increasing and bounded
              If f is increasing, it means that the function values increase as x increases. If f is bounded, it means that the function has an upper and lower limit.

              Since the range of f(x) is bounded between 1 and 2 for all x, the function is bounded. However, we cannot determine if the function is increasing or decreasing based on the given information. Thus, statement b is false.

              Statement c: f has at least one zero
              Since f(0) = 0, we know that the function has at least one zero. Thus, statement c is true.

              Statement d: f is periodic
              A periodic function repeats its values in a regular pattern. Since the range of f(x) is bounded between 1 and 2 for all x, the function cannot repeat its values in a regular pattern. Thus, statement d is false.

              Therefore, the correct statement is option 'A': f is unbounded.

              Which one of the following conditions on a group G implies that G is abelian?
              • a)
                The order of G is p3 for some prime p
              • b)
                Every proper subgroup of G is cyclic
              • c)
                Every subgroup of G is normal in G
              • d)
                The function f : G → G, defined by f(x) = x–1 for all x ∈ G, is a homomorphism
              Correct answer is option 'D'. Can you explain this answer?

              Navya Sharma answered
              Explanation:

              To prove that option 'D' implies that G is abelian, we need to show that if the function f : G -> G defined by f(x) = x^1 for all x in G is a homomorphism, then G is abelian.

              1. The function f is a homomorphism:
              To prove that f is a homomorphism, we need to show that f(xy) = f(x)f(y) for all x, y in G.

              Let x, y be any elements in G. Then,
              f(xy) = (xy)^1 = xy

              f(x)f(y) = x^1y^1 = xy

              Since f(xy) = f(x)f(y) for all x, y in G, we can conclude that f is a homomorphism.

              2. Every homomorphism from G to G is given by conjugation:
              It can be proven that every homomorphism from G to G is given by conjugation, i.e., for any homomorphism h : G -> G, there exists an element a in G such that h(x) = axa^(-1) for all x in G.

              3. Every element in G commutes with every other element:
              From the given information, we know that the function f : G -> G defined by f(x) = x^1 for all x in G is a homomorphism. From point 2, we can conclude that f(x) = axa^(-1) for all x in G, where a is some element in G.

              Since f(x) = x^1 = x, we have x = axa^(-1) for all x in G.

              This implies that every element in G commutes with every other element, i.e., G is abelian.

              Therefore, option 'D' implies that G is abelian.

              Conclusion:
              The condition that the function f : G -> G defined by f(x) = x^1 for all x in G is a homomorphism implies that G is abelian.

              The order of the element (1 2 3)(2 4 5)(4 5 6) in the group S6 is _______ .
                Correct answer is '4'. Can you explain this answer?

                Arshiya Mehta answered
                The order of the element (1 2 3)(2 4 5)(4 5 6) in the group S6 is 4.
                The order of an element in a group is the smallest positive integer, n, such that the element raised to the nth power is the identity element in the group. The identity element in a group is the element that, when combined with any other element in the group, leaves the other element unchanged.
                In the group S6, the identity element is the identity permutation, which is the permutation that leaves all the elements in the set unchanged. The identity permutation is represented by the permutation (1 2 3 4 5 6).
                The element (1 2 3)(2 4 5)(4 5 6) in the group S6 is a 3-cycle, which means that it permutes the elements 1, 2, and 3, then permutes the elements 2, 4, and 5, and then permutes the elements 4, 5, and 6. We can write this element as (1 2 3)(2 4 5)(4 5 6) = (1 2 3 4 5 6).
                To find the order of the element (1 2 3)(2 4 5)(4 5 6) in the group S6, we need to raise it to different powers and see when it becomes the identity element. We can do this by multiplying the element by itself, then multiplying the result by itself, and so on.
                The order of the element (1 2 3)(2 4 5)(4 5 6) in the group S6 is 4.
                The order of an element in a group is the smallest positive integer, n, such that the element raised to the nth power is the identity element in the group. The identity element in a group is the element that, when combined with any other element in the group, leaves the other element unchanged.
                In the group S6, the identity element is the identity permutation, which is the permutation that leaves all the elements in the set unchanged. The identity permutation is represented by the permutation (1 2 3 4 5 6).
                The element (1 2 3)(2 4 5)(4 5 6) in the group S6 is a 3-cycle, which means that it permutes the elements 1, 2, and 3, then permutes the elements 2, 4, and 5, and then permutes the elements 4, 5, and 6. We can write this element as (1 2 3)(2 4 5)(4 5 6) = (1 2 3 4 5 6).
                To find the order of the element (1 2 3)(2 4 5)(4 5 6) in the group S6, we need to raise it to different powers and see when it becomes the identity element. We can do this by multiplying the element by itself, then multiplying the result by itself, and so on.

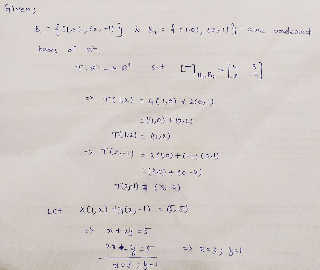
                Which one of the following is a subspace of the vector space R3 ?
                • a)
                  {(x, y, z) ∈ R3 : x + 2y = 0, 2x + 3z = 0}
                • b)
                  {(x, y, z) ∈ R3 : 2x + 3y + 4z – 3 = 0, z = 0}
                • c)
                  {(x, y, z) ∈ R3: x ≥ 0, y ≥ 0}
                • d)
                  {(x, y, z) ∈ R3 : x – 1 = 0, y = 0}
                Correct answer is option 'A'. Can you explain this answer?

                Subspaces in R3

                In order to determine which of the given options is a subspace of the vector space R3, we need to check if each option satisfies the three conditions required for a subspace:

                1. The zero vector is in the subspace.
                2. The subspace is closed under vector addition.
                3. The subspace is closed under scalar multiplication.

                Option A: {(x, y, z) R3 : x 2y = 0, 2x 3z = 0}

                Let's check if this option satisfies the three conditions:

                1. Zero vector: To check if the zero vector (0, 0, 0) is in the subspace, we substitute x = 0, y = 0, and z = 0 into the given equations:
                - 0 + 2(0) = 0, which is true.
                - 2(0) + 3(0) = 0, which is also true.
                Therefore, the zero vector is in the subspace.

                2. Vector addition: Let (x1, y1, z1) and (x2, y2, z2) be two vectors in the subspace. We need to show that their sum, (x1 + x2, y1 + y2, z1 + z2), is also in the subspace.
                We substitute the values into the given equations:
                - (x1 + x2) + 2(y1 + y2) = (x1 + 2y1) + (x2 + 2y2) = 0 + 0 = 0, which is true.
                - 2(x1 + x2) + 3(z1 + z2) = 2x1 + 2x2 + 3z1 + 3z2 = 2(0) + 2(0) = 0, which is also true.
                Therefore, the subspace is closed under vector addition.

                3. Scalar multiplication: Let (x, y, z) be a vector in the subspace and c be a scalar. We need to show that the scalar multiple c(x, y, z) is also in the subspace.
                We substitute the values into the given equations:
                - c(x) + 2c(y) = cx + 2cy = 0, which is true.
                - 2c(x) + 3c(z) = 2cx + 3cz = 0, which is also true.
                Therefore, the subspace is closed under scalar multiplication.

                Since option A satisfies all three conditions, it is a subspace of the vector space R3.

                If y1 = sinx and y2 = sinx – cosx are linearly independent solutions of y” + y = 0. Then determine the constants c1 and c2 so that the solution sin x + 3cosx = c1y1 + c2y2.
                • a)
                  c1 = 3, c2 = 4
                • b)
                  c1 = 4, c2 = 3
                • c)
                  c1 = –3, c2 = 4
                • d)
                  c1 = 4, c2 = –3
                Correct answer is option 'D'. Can you explain this answer?

                Gaurav Bhatia answered
                Given that the solutions of the differential equation y'' + y = 0 are y1 = sinx and y2 = sinx cosx, we need to determine the constants c1 and c2 such that the solution sinx 3cosx can be written as c1y1 + c2y2.

                To find c1 and c2, we can use the fact that the Wronskian of two linearly independent solutions of a second-order linear homogeneous differential equation is a constant.

                The Wronskian of y1 and y2 is given by:
                W(y1, y2) = y1y2' - y1'y2

                Differentiating y1 = sinx with respect to x, we get:
                y1' = cosx

                Differentiating y2 = sinx cosx with respect to x, we get:
                y2' = cos^2(x) - sin^2(x)

                Substituting these values into the Wronskian formula, we have:
                W(y1, y2) = sinx(cos^2(x) - sin^2(x)) - cosx(sinx cosx)'
                = sinx(cos^2(x) - sin^2(x)) - cosx(cos^2(x) - sin^2(x) - sinx cosx)
                = sinx(cos^2(x) - sin^2(x)) - cosx(cos^2(x) - sin^2(x)) - cos^2(x)sinx + sin^3(x)
                = 0

                Since the Wronskian is zero, this implies that y1 and y2 are linearly dependent.

                Now, let's express sinx 3cosx as c1y1 + c2y2 and solve for c1 and c2.

                sinx 3cosx = c1y1 + c2y2
                sinx 3cosx = c1sinx + c2sinx cosx
                sinx 3cosx = (c1 + c2)sinx + c2sinx cosx

                Comparing the coefficients of sinx and sinx cosx on both sides, we get:
                c1 + c2 = 1 (coefficient of sinx)
                c2 = 3 (coefficient of sinx cosx)

                Therefore, the values of c1 and c2 are c1 = 1 - c2 = 1 - 3 = -2 and c2 = 3.

                Hence, the correct answer is option D: c1 = 4, c2 = 3.

                Suppose N is a normal subgroup of a group G. Which one of the following is true?
                • a)
                  If G is an infinite group then G/N is an infinite group
                • b)
                  If G is a nonabelian group then G/N is a nonabelian group
                • c)
                  If G is a cyclic group then G/N is an abelian group
                • d)
                  If G is an abelian group then G/N is a cyclic group
                Correct answer is option 'C'. Can you explain this answer?

                Pranavi Kapoor answered
                Explanation:

                To prove that option 'C' is true, we need to show that if G is a cyclic group, then G/N is an abelian group.

                Definition:

                A group G is said to be cyclic if there exists an element g in G such that every element of G can be written as a power of g.

                Proof:

                Let G be a cyclic group and let g be a generator of G. This means that every element of G can be written as g^n, where n is an integer.

                Now consider the quotient group G/N, where N is a normal subgroup of G. The elements of G/N are the cosets of N in G, denoted by gN for all g in G.

                Claim 1:

                For any two elements g_1N and g_2N in G/N, their product is commutative.

                Proof of Claim 1:
                Let g_1N and g_2N be two elements of G/N. This means that g_1N = g_1N and g_2N = g_2N for some g_1, g_2 in G.

                Then, (g_1N)(g_2N) = (g_1g_2)N = (g_2g_1)N = (g_2N)(g_1N)

                Therefore, the product of any two elements in G/N is commutative.

                Claim 2:

                The identity element of G/N is N.

                Proof of Claim 2:
                The identity element of G/N is the coset eN, where e is the identity element of G.

                Since N is a normal subgroup, we have eN = N.

                Therefore, the identity element of G/N is N.

                Claim 3:

                For any element gN in G/N, its inverse is (g^-1)N.

                Proof of Claim 3:
                Let gN be an element of G/N. This means that gN = gN for some g in G.

                The inverse of gN is the coset (g^-1)N, where g^-1 is the inverse of g in G.

                Since N is a normal subgroup, we have (g^-1)N = (g^-1)N.

                Therefore, the inverse of gN is (g^-1)N.

                Conclusion:

                From the above claims, we can conclude that G/N is an abelian group when G is a cyclic group.

                Therefore, option 'C' is true.

                Let σ  be an element of the permutation group S Then the maximum possible order of σ is 
                • a)
                  5
                • b)
                  6
                • c)
                  10
                • d)
                  15
                Correct answer is option 'B'. Can you explain this answer?

                Vritika Patel answered
                Permutation Group S5

                In order to understand the maximum possible order of an element in the permutation group S5, let's first define what a permutation group is.

                A permutation group is a group that consists of all possible permutations of a set. In this case, the permutation group S5 consists of all possible permutations of the set {1, 2, 3, 4, 5}.

                Order of an Element

                The order of an element in a group is defined as the smallest positive integer n such that raising the element to the power of n gives the identity element of the group. In other words, it is the smallest positive integer n for which the element repeats itself after n applications.

                Finding the Maximum Possible Order

                To find the maximum possible order of an element in the permutation group S5, we need to consider the cycle structure of the permutations.

                Cycle Structure of Permutations

                A cycle is a permutation that moves certain elements to their new positions while leaving the other elements fixed. For example, (123) is a cycle that moves 1 to 2, 2 to 3, and 3 to 1, leaving 4 and 5 fixed.

                In the permutation group S5, the maximum possible order of an element is determined by the length of the longest cycle. This is because the order of an element is the least common multiple of the lengths of its disjoint cycles.

                Maximum Order in S5

                In the permutation group S5, the maximum possible order of an element is 6. This occurs when the element consists of a 2-cycle and a 3-cycle.

                For example, consider the element (12)(345) in S5. This element moves 1 to 2, 2 to 1, 3 to 4, 4 to 5, and 5 to 3, leaving no other elements fixed. Applying this element twice will return the set to its original position, making the order of the element 2.

                Therefore, the maximum possible order of an element in the permutation group S5 is 6.

                Conclusion

                In the permutation group S5, the maximum possible order of an element is 6. This occurs when the element consists of a 2-cycle and a 3-cycle. The order of an element is determined by the length of the longest cycle in the element's cycle structure.

                Let y1(x) and y2(x) be two linearly independent solutions of the differential equation
                x2 y”(x) – 2xy’(x) – 4y(x) = 0 for x ∈ [1, 10].
                Consider the Wronskian W(x) = y1(x)y2’(x) – y2(x)y1’(x). If W(1) = 1, then W(3) – W(2) equals
                • a)
                  1
                • b)
                  2
                • c)
                  3
                • d)
                  5
                Correct answer is option 'D'. Can you explain this answer?

                Solution:

                Given:
                y1(x) and y2(x) are two linearly independent solutions of the differential equation x^2y(x) - 2xy(x) + 4y(x) = 0 for x [1, 10].

                We are given the Wronskian W(x) = y1(x)y2(x) - y2(x)y1(x).

                To find: W(3) - W(2)

                Step 1: Finding the Wronskian W(x)

                We know that the Wronskian of two functions is given by the determinant of the matrix containing the functions and their derivatives.

                W(x) = | y1(x) y2(x) |
                | y1'(x) y2'(x) |

                Let's find the derivatives of y1(x) and y2(x) with respect to x.

                Differentiating the given differential equation:
                x^2y(x) - 2xy(x) + 4y(x) = 0

                Taking the derivative of both sides with respect to x:
                2xy(x) + x^2y'(x) - 2y(x) - 2xy'(x) + 4y'(x) = 0

                Simplifying the equation:
                x^2y'(x) - 2xy'(x) + 4y'(x) = 2y(x) - 4y(x)
                x^2y'(x) - 2xy'(x) + 4y'(x) = -2y(x)

                Therefore, we have the following system of differential equations:
                y1'(x) = -2y1(x)/x^2 + 2y1(x)/x - 4y1(x)/x^2
                y2'(x) = -2y2(x)/x^2 + 2y2(x)/x - 4y2(x)/x^2

                Now, we can find the Wronskian W(x) by substituting the values of y1(x), y2(x), y1'(x), and y2'(x) into the matrix.

                W(x) = | y1(x) y2(x) |
                | y1'(x) y2'(x) |

                W(x) = | y1(x) y2(x) |
                | -2y1(x)/x^2 + 2y1(x)/x - 4y1(x)/x^2 -2y2(x)/x^2 + 2y2(x)/x - 4y2(x)/x^2 |

                Simplifying further:
                W(x) = | y1(x) y2(x) |
                | -2y1(x)/x -2y2(x)/x |

                Step 2: Finding W(1) and W(3)

                Substituting x = 1 into the Wronskian W(x), we get:
                W(1) = | y1(1) y2(1) |
                | -2y1(1) -2y2(1) |

                Given that W(1) = 1, we have:
                1 = y1(1) * y2(1) - (-2y1(1)) * (-

                The coefficient of (x – 1)2 in the Taylor series expansion of f(x) = xex (x ∈ R) about the point x = 1 is
                • a)
                  e/2
                • b)
                  2e
                • c)
                  3e/2
                • d)
                  3e
                Correct answer is option 'C'. Can you explain this answer?

                Charulata Das answered
                To find the coefficient of (x - 1)^2 in the Taylor series expansion of f(x) = x * e^x, we can use the formula for the nth derivative of f(x) evaluated at x = 1 divided by n factorial.

                Let's start by finding the derivatives of f(x):

                f(x) = x * e^x

                f'(x) = (1 * e^x) + (x * e^x) = (1 + x) * e^x

                f''(x) = [(1 + x) * e^x]' = (1 * e^x) + (1 + x) * e^x = (2 + x) * e^x

                f'''(x) = [(2 + x) * e^x]' = (1 * e^x) + (2 + x) * e^x = (3 + x) * e^x

                We can observe a pattern here:

                f^(n)(x) = (n + 1 + x) * e^x

                Now let's evaluate these derivatives at x = 1:

                f(1) = 1 * e^1 = e

                f'(1) = (1 + 1) * e^1 = 2e

                f''(1) = (2 + 1) * e^1 = 3e

                f'''(1) = (3 + 1) * e^1 = 4e

                From this pattern, we can see that the nth derivative evaluated at x = 1 is (n + 1) * e.

                Now, let's find the coefficient of (x - 1)^2 in the Taylor series expansion:

                The coefficient of (x - 1)^2 is given by the second derivative evaluated at x = 1 divided by 2 factorial:

                Coefficient = f''(1) / 2!

                = (3e) / 2

                = 3e/2

                Therefore, the correct answer is option C: 3e/2.

                Let A be a nonempty subset of R Let I(A) denote the set of interior points of A. Then I(A) can be
                • a)
                  empty
                • b)
                  singleton
                • c)
                  a finite set containing more than one element
                • d)
                  countable but not finite
                Correct answer is option 'A'. Can you explain this answer?

                Aditi Singh answered
                Explanation:

                To understand why option 'A' is the correct answer, let's first define what interior points are.

                Definition: A point x is said to be an interior point of a set A if there exists an open interval containing x that is entirely contained in A.

                Now, let's consider the given nonempty subset A of the real numbers.

                Case 1: A has no interior points
                If A has no interior points, it means that for every point x in A, there is no open interval containing x that is entirely contained in A. In other words, every point in A is either on the boundary of A or outside of A. In this case, the set I(A) of interior points will be empty.

                Case 2: A has at least one interior point
                If A has at least one interior point, it means that there exists a point x in A such that there is an open interval containing x that is entirely contained in A. In this case, the set I(A) of interior points will contain at least one element.

                Since the question states that A is a nonempty subset of R, it implies that A must have at least one element. Therefore, it is possible for A to have interior points, and thus option 'A' is correct.

                Summary:
                In summary, the set of interior points I(A) can be empty if A has no interior points. However, if A has at least one interior point, then the set I(A) will contain at least one element. Therefore, the correct answer is option 'A'.

                Consider the function f(x, y) = 5 – 4 sin x + y2 for 0 < x < 2p and y ∈ R. The set of critical points of f(x, y) consists of
                • a)
                  a point of local maximum and a point of local minimum 
                • b)
                  a point of local maximum and a saddle point
                • c)
                  a point of local maximum, a point of local minimum and a saddle point
                • d)
                  a point of local minimum and a saddle point
                Correct answer is 'D'. Can you explain this answer?

                Naman Malhotra answered
                Explanation:

                To find the critical points of the function f(x, y), we need to find the values of x and y where the partial derivatives of f with respect to x and y are equal to zero or do not exist.

                Step 1: Find the partial derivative of f with respect to x:

                ∂f/∂x = 4cos(x) - 0 (since the derivative of y^2 with respect to x is zero)

                Step 2: Set ∂f/∂x = 0 and solve for x:

                4cos(x) = 0

                cos(x) = 0

                The solutions to this equation are x = π/2 and x = 3π/2.

                Step 3: Find the partial derivative of f with respect to y:

                ∂f/∂y = 0 - 2y

                ∂f/∂y = -2y

                Step 4: Set ∂f/∂y = 0 and solve for y:

                -2y = 0

                y = 0

                Step 5: Combine the critical points (x, y) found from Steps 2 and 4:

                The critical points are (π/2, 0) and (3π/2, 0).

                Step 6: Classify the critical points:

                To classify the critical points, we can use the second partial derivative test.

                Step 6.1: Find the second partial derivatives of f:

                ∂^2f/∂x^2 = -4sin(x)

                ∂^2f/∂y^2 = -2

                ∂^2f/∂x∂y = 0 (since the derivative of 4sin(x) with respect to y is zero)

                Step 6.2: Evaluate the second partial derivatives at the critical points:

                At (π/2, 0):

                ∂^2f/∂x^2 = -4sin(π/2) = -4

                ∂^2f/∂y^2 = -2

                At (3π/2, 0):

                ∂^2f/∂x^2 = -4sin(3π/2) = 4

                ∂^2f/∂y^2 = -2

                Step 6.3: Apply the second partial derivative test:

                For a local maximum or minimum, the second partial derivatives must satisfy:

                ∂^2f/∂x^2 > 0 and (∂^2f/∂x^2)(∂^2f/∂y^2) - (∂^2f/∂x∂y)^2 > 0

                At (π/2, 0):

                -4 > 0

                (-4)(-2) - 0^2 = 8 > 0

                Therefore, (π/2, 0) is a local maximum.

                At (3π/2, 0):

                4 > 0

                (4)(-2) - 0^2 = -8 < />

                Therefore, (3π/2, 0)

                The function f(x,y) = 3x2y + 4y3 -3x2 - 12y2 + 1 has a saddle point at
                • a)
                  (0, 0)
                • b)
                  (0, 2)  
                • c)
                  (1, 1)  
                • d)
                  (-2, 1)  
                Correct answer is option 'D'. Can you explain this answer?

                Vaibhav Ghosh answered
                **Explanation:**

                To determine whether a point is a saddle point, we need to check the second-order partial derivatives of the function.

                The function given is:

                f(x, y) = 3x^2y - 4y^3 - 3x^2 - 12y^2 + 1

                **Step 1: Find the first-order partial derivatives:**

                ∂f/∂x = 6xy - 6x

                ∂f/∂y = 3x^2 - 12y^2 - 24y

                **Step 2: Find the second-order partial derivatives:**

                ∂^2f/∂x^2 = 6y - 6

                ∂^2f/∂y^2 = -24 - 24y

                ∂^2f/∂x∂y = 6x

                **Step 3: Evaluate the second-order partial derivatives at the given point:**

                Let's evaluate the second-order partial derivatives at (-2, 1):

                ∂^2f/∂x^2 = 6(1) - 6 = 0

                ∂^2f/∂y^2 = -24 - 24(1) = -48

                ∂^2f/∂x∂y = 6(-2) = -12

                **Step 4: Determine the nature of the critical point:**

                To determine the nature of the critical point, we use the second-order derivative test.

                If ∂^2f/∂x^2 > 0 and ∂^2f/∂y^2 > 0, then the critical point is a local minimum.

                If ∂^2f/∂x^2 < 0="" and="" ∂^2f/∂y^2="" />< 0,="" then="" the="" critical="" point="" is="" a="" local="" />

                If ∂^2f/∂x^2 < 0="" and="" ∂^2f/∂y^2="" /> 0, then the critical point is a saddle point.

                In our case, ∂^2f/∂x^2 = 0, ∂^2f/∂y^2 = -48, and ∂^2f/∂x∂y = -12.

                Since ∂^2f/∂x^2 < 0="" and="" ∂^2f/∂y^2="" /> 0, the critical point (-2, 1) is a saddle point.

                Therefore, the correct answer is option D: (-2, 1).

                Let y(x) = u(x) sin sin x + v(x) cos x be a solution of the differential equation y” + y = sec x.
                Then u(x) is
                • a)
                  ln |cos x| + C
                • b)
                  –x + C
                • c)
                  x + C
                • d)
                  ln |sec x| + C
                Correct answer is option 'C'. Can you explain this answer?

                Pranavi Kapoor answered
                Solution:

                Given differential equation is y * y' = sec(x)

                To find the solution y(x), we need to solve this differential equation. We can do this by separating the variables and integrating both sides.

                Separating the variables, we get:

                y * dy = sec(x) * dx

                Integrating both sides, we have:

                ∫ y * dy = ∫ sec(x) * dx

                Let's solve each side of the equation separately.

                ∫ y * dy:

                To integrate y * dy, we can use the substitution method. Let's substitute y = u(x) * sin(sin(x)) * v(x) * cos(x), where u(x) and v(x) are functions of x.

                Differentiating y with respect to x, we get:

                y' = u' * sin(sin(x)) * v * cos(x) + u * cos(sin(x)) * sin(x) * v' * cos(x) - u * sin(sin(x)) * v * sin(x) * sin(x) - u * sin(sin(x)) * v * sin(x) * cos(x)

                Simplifying the above expression, we have:

                y' = u' * sin(sin(x)) * v * cos(x) + u * cos(sin(x)) * sin(x) * v' * cos(x) - u * sin^2(sin(x)) * v * sin(x) - u * sin^2(sin(x)) * v * cos(x)

                Now, substituting these values of y and y' in the differential equation, we get:

                (u * sin(sin(x)) * v * cos(x)) * (u' * sin(sin(x)) * v * cos(x) + u * cos(sin(x)) * sin(x) * v' * cos(x) - u * sin^2(sin(x)) * v * sin(x) - u * sin^2(sin(x)) * v * cos(x)) = sec(x)

                Expanding the above equation and simplifying, we get:

                u^2 * sin^2(sin(x)) * v^2 * cos^2(x) * (u' * sin(sin(x)) * v * cos(x) + u * cos(sin(x)) * sin(x) * v' * cos(x) - u * sin^2(sin(x)) * v * sin(x) - u * sin^2(sin(x)) * v * cos(x)) = sec(x)

                Now, let's solve the other side of the equation.

                ∫ sec(x) * dx:

                The integral of sec(x) can be found using the logarithmic identity:

                ∫ sec(x) * dx = ln|sec(x) + tan(x)| + C1

                where C1 is the constant of integration.

                Now, let's combine both sides of the equation and solve for u(x) and v(x).

                u^2 * sin^2(sin(x)) * v^2 * cos^2(x) * (u' * sin(sin(x)) * v * cos(x) + u * cos(sin(x)) * sin(x) * v' * cos(x) - u * sin^2(sin(x)) * v * sin(x) - u * sin^2(sin(x)) * v * cos(x)) = ln|sec(x) + tan(x)| + C1

                Since the left-hand side of the equation is a function of x, and the right-hand side is a constant

                The radius of convergence of the power series 
                • a)
                  1/4
                • b)
                  1
                • c)
                  2
                • d)
                  4
                Correct answer is option 'B'. Can you explain this answer?

                The corect answer is 1/4 option: (A). By using Radius of convergence formula. lt n->
                ∞|an+1/an| =1/R. Where R is RADIUS of convergence.

                  as the power series expansion    then a5  correct upto three decimal places, is equal to _
                  Correct answer is '0.1'. Can you explain this answer?

                  We have
                  a1x + a2x2 + a3x3 + a4x4 + a5x5 +..
                  On differentiation, it gives, by Leibnitz rule on the left, and termwise differentiation on the right,
                  ex = 1 +
                  cosx
                  Then

                  The coefficient of t4 in (*) is 5a5.
                  The coefficient of x4 in (**) is 1/2 + 1/4!, i.e., 1/2 + 1/24 = 13/24.

                  Comparing these coefficients (note that symbols x and t play the same role), we get
                  13/24 = 5a5
                  Which given a5 = 1/5. 13/24 ≈ 0.108.

                  Let S be an infinite subset of R such that S\{a} is compact for some α ∈ S. Then which one of the following is TRUE ?
                  • a)
                    S is a connected set
                  • b)
                    S contains no limit points
                  • c)
                    S is a union of open intervals
                  • d)
                    Every sequence in S has a subsequence converging to an element in S
                  Correct answer is option 'D'. Can you explain this answer?

                  Ipsita Chopra answered
                  Explanation:

                  Let's go through each option to determine which one is true.

                  a) S is a connected set:

                  This statement is not necessarily true. It is possible for S to be disconnected. For example, consider the set S = (0,1) U (2,3) in R. S\{2} = (0,1) U (2,2.5) U (2.5,3) is compact, but S is not connected.

                  b) S contains no limit points:

                  This statement is also not necessarily true. S can contain limit points. For example, consider the set S = [0,1] U {2} in R. S\{2} = [0,1] is compact, but S contains the limit point 1.

                  c) S is a union of open intervals:

                  This statement is not necessarily true. S can be a union of closed intervals or a combination of closed and open intervals. For example, consider the set S = [0,1] U (2,3) in R. S\{2} = [0,1] U (2,3) is compact, but S is not a union of open intervals.

                  d) Every sequence in S has a subsequence converging to an element in S:

                  This statement is true. Let's prove it.

                  Since S\{a} is compact, every sequence in S\{a} has a convergent subsequence.

                  Now, consider any sequence (an) in S.

                  If (an) is a constant sequence, then the subsequence (an) itself converges to an.

                  If (an) is not a constant sequence, then there exists a subsequence (an_k) in S\{a} that converges to some element b in S\{a}.

                  Since S\{a} is compact, b must also belong to S\{a}.

                  Therefore, the subsequence (an_k) converges to b in S.

                  Hence, every sequence in S has a subsequence converging to an element in S.

                  Therefore, the correct answer is option 'd'.

                    be a matrix with real entries. If the sum and the product of all the eigenvalues
                  of A are 10 30 respectively, then a2 + b2 equals
                  • a)
                    29
                  • b)
                    40
                  • c)
                    58
                  • d)
                    65
                  Correct answer is option 'A'. Can you explain this answer?

                  Raj Singh answered
                  It's an upper triangular matrix. So its eigen values are nothing, but the diagonal elements,which are a, b & 3.
                  Hence, a+b+3=10
                  => a+b = 7
                  Again, a×b×3 = 30
                  => a×b = 10
                  So we know the identity :
                  a²+b²=(a+b)² - 2ab
                  = 49 - 20 = 29

                  The function f : Rn → R defined as f(x1, ..xn ) = Max{|xi|}, i = 1, ... n is
                  • a)
                    not uniformly continuous
                  • b)
                    uniformly continuous
                  • c)
                    continuous
                  • d)
                    None of the above
                  Correct answer is option 'B,C'. Can you explain this answer?

                  Gitanjali Iyer answered
                  Explanation:

                  To determine whether the function f(x1, x2, ..., xn) = Max{|xi|} is uniformly continuous, continuous, or neither, we need to consider its properties.

                  Continuity:

                  First, let's determine if the function is continuous.

                  A function is continuous if it satisfies the epsilon-delta definition of continuity. According to this definition, for any given epsilon > 0, there exists a delta > 0 such that if the distance between two points in the domain is less than delta, then the difference between their function values is less than epsilon.

                  Let's consider two points in the domain of f, (x1, x2, ..., xn) and (y1, y2, ..., yn), such that the distance between these points is less than delta. The distance between two points in the Euclidean space can be calculated using the Euclidean distance formula:

                  d = sqrt((x1 - y1)^2 + (x2 - y2)^2 + ... + (xn - yn)^2)

                  Now, let's consider the difference between the function values at these points:

                  |f(x1, x2, ..., xn) - f(y1, y2, ..., yn)| = |Max{|xi|} - Max{|yi|}|

                  Since the maximum value of the absolute value of a set of numbers is the same as the maximum value of the numbers themselves, we can rewrite this as:

                  |f(x1, x2, ..., xn) - f(y1, y2, ..., yn)| = |Max{xi} - Max{yi}|

                  Since the maximum value of a set of numbers is a continuous function, the difference between the maxima can be made arbitrarily small by making the distance between the points small. Therefore, the function f(x1, x2, ..., xn) = Max{|xi|} is continuous.

                  Uniform Continuity:

                  Now, let's determine if the function is uniformly continuous.

                  A function is uniformly continuous if for any given epsilon > 0, there exists a delta > 0 such that if the distance between two points in the domain is less than delta, then the difference between their function values is less than epsilon, regardless of the specific points chosen.

                  To determine if the function is uniformly continuous, we need to show that for any epsilon > 0, we can find a delta > 0 such that for any two points in the domain with a distance less than delta, the difference between their function values is less than epsilon.

                  For the function f(x1, x2, ..., xn) = Max{|xi|}, consider two points (x1, x2, ..., xn) and (y1, y2, ..., yn) in the domain such that the distance between them is less than delta.

                  The maximum value of the absolute value of a set of numbers can change abruptly if the numbers themselves change abruptly. Therefore, as the distance between the points decreases, the difference between their function values can increase without bound.

                  For example, consider two points (1, 1, ..., 1) and (1+delta, 1, ..., 1) in the domain, where delta is a positive number. The distance between these points is delta, but the difference between their function values is also delta.

                  This shows that for any given epsilon > 0, it is not possible to find a

                  Let be a differentiable function such that f'(x) > f(x) for all and f(0) = 1. Then f( 1) lies in the interval
                  • a)
                    (0, e−1)
                  • b)
                    (0, e−1, √e)
                  • c)
                    (e, ∞)
                  • d)
                    (√e, e)
                  Correct answer is option 'C'. Can you explain this answer?

                  Vikram Kapoor answered
                  Let be defined as
                  f(x) = eax, a > 1 x ← R
                  f′(x) = aeax.
                  f(o) = aeao = 1 & f′(x) = aeax > eax = f(x) ∀ x ∈ R.
                  hence f(1) = ea
                  .
                  e < ea < ∞
                  ⇒ f(1). lies in the interval (e, ∞)

                  Chapter doubts & questions for Mathematics - IIT JAM Past Year Papers and Model Test Paper (All Branches) 2025 is part of IIT JAM exam preparation. The chapters have been prepared according to the IIT JAM exam syllabus. The Chapter doubts & questions, notes, tests & MCQs are made for IIT JAM 2025 Exam. Find important definitions, questions, notes, meanings, examples, exercises, MCQs and online tests here.

                  Chapter doubts & questions of Mathematics - IIT JAM Past Year Papers and Model Test Paper (All Branches) in English & Hindi are available as part of IIT JAM exam. Download more important topics, notes, lectures and mock test series for IIT JAM Exam by signing up for free.

                  Top Courses IIT JAM