NEET Exam  >  NEET Questions  >  The ratio of radii of gyration of a circular ... Start Learning for Free
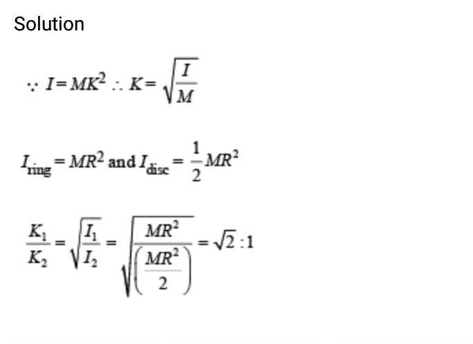
The ratio of radii of gyration of a circular ring and a circular disc, of the same mass and radius, about an axis passing through their centres and perpendicular to their planes are [NEET Kar. 2013]
  • a)
  • b)
  • c)
    3 : 2
  • d)
    2 : 1
Correct answer is option 'A'. Can you explain this answer?
Verified Answer
The ratio of radii of gyration of a circular ring and a circular disc,...
View all questions of this test
Most Upvoted Answer
The ratio of radii of gyration of a circular ring and a circular disc,...
Free Test
Community Answer
The ratio of radii of gyration of a circular ring and a circular disc,...
Explore Courses for NEET exam

Top Courses for NEET

Question Description
The ratio of radii of gyration of a circular ring and a circular disc, of the same mass and radius, about an axis passing through their centres and perpendicular to their planes are [NEET Kar. 2013]a)b)c)3 : 2d)2 : 1Correct answer is option 'A'. Can you explain this answer? for NEET 2025 is part of NEET preparation. The Question and answers have been prepared according to the NEET exam syllabus. Information about The ratio of radii of gyration of a circular ring and a circular disc, of the same mass and radius, about an axis passing through their centres and perpendicular to their planes are [NEET Kar. 2013]a)b)c)3 : 2d)2 : 1Correct answer is option 'A'. Can you explain this answer? covers all topics & solutions for NEET 2025 Exam. Find important definitions, questions, meanings, examples, exercises and tests below for The ratio of radii of gyration of a circular ring and a circular disc, of the same mass and radius, about an axis passing through their centres and perpendicular to their planes are [NEET Kar. 2013]a)b)c)3 : 2d)2 : 1Correct answer is option 'A'. Can you explain this answer?.
Solutions for The ratio of radii of gyration of a circular ring and a circular disc, of the same mass and radius, about an axis passing through their centres and perpendicular to their planes are [NEET Kar. 2013]a)b)c)3 : 2d)2 : 1Correct answer is option 'A'. Can you explain this answer? in English & in Hindi are available as part of our courses for NEET. Download more important topics, notes, lectures and mock test series for NEET Exam by signing up for free.
Here you can find the meaning of The ratio of radii of gyration of a circular ring and a circular disc, of the same mass and radius, about an axis passing through their centres and perpendicular to their planes are [NEET Kar. 2013]a)b)c)3 : 2d)2 : 1Correct answer is option 'A'. Can you explain this answer? defined & explained in the simplest way possible. Besides giving the explanation of The ratio of radii of gyration of a circular ring and a circular disc, of the same mass and radius, about an axis passing through their centres and perpendicular to their planes are [NEET Kar. 2013]a)b)c)3 : 2d)2 : 1Correct answer is option 'A'. Can you explain this answer?, a detailed solution for The ratio of radii of gyration of a circular ring and a circular disc, of the same mass and radius, about an axis passing through their centres and perpendicular to their planes are [NEET Kar. 2013]a)b)c)3 : 2d)2 : 1Correct answer is option 'A'. Can you explain this answer? has been provided alongside types of The ratio of radii of gyration of a circular ring and a circular disc, of the same mass and radius, about an axis passing through their centres and perpendicular to their planes are [NEET Kar. 2013]a)b)c)3 : 2d)2 : 1Correct answer is option 'A'. Can you explain this answer? theory, EduRev gives you an ample number of questions to practice The ratio of radii of gyration of a circular ring and a circular disc, of the same mass and radius, about an axis passing through their centres and perpendicular to their planes are [NEET Kar. 2013]a)b)c)3 : 2d)2 : 1Correct answer is option 'A'. Can you explain this answer? tests, examples and also practice NEET tests.
Explore Courses for NEET exam

Top Courses for NEET

Explore Courses
Signup for Free!
Signup to see your scores go up within 7 days! Learn & Practice with 1000+ FREE Notes, Videos & Tests.
10M+ students study on EduRev