NEET Exam  >  NEET Questions  >  If the kinetic energy of a particle is increa... Start Learning for Free
If the kinetic energy of a particle is increased by 300%, the momentum of the particle will increase by[2002]
  • a)
    20%
  • b)
    200%
  • c)
    100%
  • d)
    50%
Correct answer is option 'C'. Can you explain this answer?
Verified Answer
If the kinetic energy of a particle is increased by 300%, the momentum...
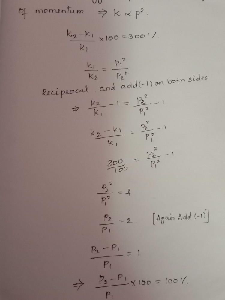
New K.E.,  E' = 4E
[on substrating 1 in both sides.]
View all questions of this test
Most Upvoted Answer
If the kinetic energy of a particle is increased by 300%, the momentum...
Free Test
Community Answer
If the kinetic energy of a particle is increased by 300%, the momentum...
Explore Courses for NEET exam

Top Courses for NEET

Question Description
If the kinetic energy of a particle is increased by 300%, the momentum of the particle will increase by[2002]a)20%b)200%c)100%d)50%Correct answer is option 'C'. Can you explain this answer? for NEET 2025 is part of NEET preparation. The Question and answers have been prepared according to the NEET exam syllabus. Information about If the kinetic energy of a particle is increased by 300%, the momentum of the particle will increase by[2002]a)20%b)200%c)100%d)50%Correct answer is option 'C'. Can you explain this answer? covers all topics & solutions for NEET 2025 Exam. Find important definitions, questions, meanings, examples, exercises and tests below for If the kinetic energy of a particle is increased by 300%, the momentum of the particle will increase by[2002]a)20%b)200%c)100%d)50%Correct answer is option 'C'. Can you explain this answer?.
Solutions for If the kinetic energy of a particle is increased by 300%, the momentum of the particle will increase by[2002]a)20%b)200%c)100%d)50%Correct answer is option 'C'. Can you explain this answer? in English & in Hindi are available as part of our courses for NEET. Download more important topics, notes, lectures and mock test series for NEET Exam by signing up for free.
Here you can find the meaning of If the kinetic energy of a particle is increased by 300%, the momentum of the particle will increase by[2002]a)20%b)200%c)100%d)50%Correct answer is option 'C'. Can you explain this answer? defined & explained in the simplest way possible. Besides giving the explanation of If the kinetic energy of a particle is increased by 300%, the momentum of the particle will increase by[2002]a)20%b)200%c)100%d)50%Correct answer is option 'C'. Can you explain this answer?, a detailed solution for If the kinetic energy of a particle is increased by 300%, the momentum of the particle will increase by[2002]a)20%b)200%c)100%d)50%Correct answer is option 'C'. Can you explain this answer? has been provided alongside types of If the kinetic energy of a particle is increased by 300%, the momentum of the particle will increase by[2002]a)20%b)200%c)100%d)50%Correct answer is option 'C'. Can you explain this answer? theory, EduRev gives you an ample number of questions to practice If the kinetic energy of a particle is increased by 300%, the momentum of the particle will increase by[2002]a)20%b)200%c)100%d)50%Correct answer is option 'C'. Can you explain this answer? tests, examples and also practice NEET tests.
Explore Courses for NEET exam

Top Courses for NEET

Explore Courses
Signup for Free!
Signup to see your scores go up within 7 days! Learn & Practice with 1000+ FREE Notes, Videos & Tests.
10M+ students study on EduRev