NEET Exam  >  NEET Questions  >  A mass of 1 kg is suspended by a thread. It i... Start Learning for Free
A mass of 1 kg is suspended by a thread. It is (i) lifted up with an acceleration 4.9 m/s2, (ii) lowered with an acceleration 4.9 m/s2.The ratio of the tensions is [1998]
  • a)
    3 : 1
  • b)
    1 : 2
  • c)
    1 : 3
  • d)
    2 : 1
Correct answer is option 'A'. Can you explain this answer?
Verified Answer
A mass of 1 kg is suspended by a thread. It is (i) lifted up with an a...
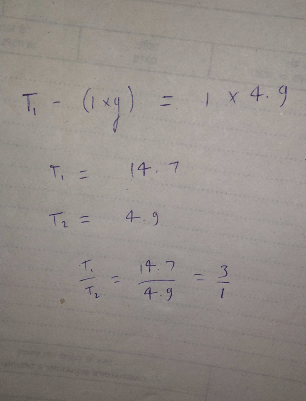
In case (i) we have
View all questions of this test
Most Upvoted Answer
A mass of 1 kg is suspended by a thread. It is (i) lifted up with an a...
Solution:

Given, mass of the object (m) = 1 kg
Acceleration due to gravity (g) = 9.8 m/s²
Acceleration of lifting and lowering the mass (a) = 4.9 m/s²

Let T1 and T2 be the tensions in the thread while lifting and lowering the mass respectively.

When the mass is lifted up:
The forces acting on the mass are:
- T1 - tension force acting upwards
- mg - weight of the mass acting downwards

Using Newton's second law of motion,
T1 - mg = ma
T1 - m(g + a) = 0
T1 = m(g + a) ----(1)

When the mass is lowered:
The forces acting on the mass are:
- T2 - tension force acting downwards
- mg - weight of the mass acting downwards

Using Newton's second law of motion,
T2 - mg = -ma
T2 - m(g - a) = 0
T2 = m(g - a) ----(2)

Ratio of tensions:
T1/T2 = (g + a)/(g - a)

Substituting the given values, we get
T1/T2 = (9.8 + 4.9)/(9.8 - 4.9) = 14.7/4.9 = 3/1

Hence, the ratio of tensions is 3:1. Therefore, option (a) is the correct answer.
Free Test
Community Answer
A mass of 1 kg is suspended by a thread. It is (i) lifted up with an a...
Explore Courses for NEET exam

Top Courses for NEET

Question Description
A mass of 1 kg is suspended by a thread. It is (i) lifted up with an acceleration 4.9 m/s2, (ii) lowered with an acceleration 4.9 m/s2.The ratio of the tensions is [1998]a)3 : 1b)1 : 2c)1 : 3d)2 : 1Correct answer is option 'A'. Can you explain this answer? for NEET 2025 is part of NEET preparation. The Question and answers have been prepared according to the NEET exam syllabus. Information about A mass of 1 kg is suspended by a thread. It is (i) lifted up with an acceleration 4.9 m/s2, (ii) lowered with an acceleration 4.9 m/s2.The ratio of the tensions is [1998]a)3 : 1b)1 : 2c)1 : 3d)2 : 1Correct answer is option 'A'. Can you explain this answer? covers all topics & solutions for NEET 2025 Exam. Find important definitions, questions, meanings, examples, exercises and tests below for A mass of 1 kg is suspended by a thread. It is (i) lifted up with an acceleration 4.9 m/s2, (ii) lowered with an acceleration 4.9 m/s2.The ratio of the tensions is [1998]a)3 : 1b)1 : 2c)1 : 3d)2 : 1Correct answer is option 'A'. Can you explain this answer?.
Solutions for A mass of 1 kg is suspended by a thread. It is (i) lifted up with an acceleration 4.9 m/s2, (ii) lowered with an acceleration 4.9 m/s2.The ratio of the tensions is [1998]a)3 : 1b)1 : 2c)1 : 3d)2 : 1Correct answer is option 'A'. Can you explain this answer? in English & in Hindi are available as part of our courses for NEET. Download more important topics, notes, lectures and mock test series for NEET Exam by signing up for free.
Here you can find the meaning of A mass of 1 kg is suspended by a thread. It is (i) lifted up with an acceleration 4.9 m/s2, (ii) lowered with an acceleration 4.9 m/s2.The ratio of the tensions is [1998]a)3 : 1b)1 : 2c)1 : 3d)2 : 1Correct answer is option 'A'. Can you explain this answer? defined & explained in the simplest way possible. Besides giving the explanation of A mass of 1 kg is suspended by a thread. It is (i) lifted up with an acceleration 4.9 m/s2, (ii) lowered with an acceleration 4.9 m/s2.The ratio of the tensions is [1998]a)3 : 1b)1 : 2c)1 : 3d)2 : 1Correct answer is option 'A'. Can you explain this answer?, a detailed solution for A mass of 1 kg is suspended by a thread. It is (i) lifted up with an acceleration 4.9 m/s2, (ii) lowered with an acceleration 4.9 m/s2.The ratio of the tensions is [1998]a)3 : 1b)1 : 2c)1 : 3d)2 : 1Correct answer is option 'A'. Can you explain this answer? has been provided alongside types of A mass of 1 kg is suspended by a thread. It is (i) lifted up with an acceleration 4.9 m/s2, (ii) lowered with an acceleration 4.9 m/s2.The ratio of the tensions is [1998]a)3 : 1b)1 : 2c)1 : 3d)2 : 1Correct answer is option 'A'. Can you explain this answer? theory, EduRev gives you an ample number of questions to practice A mass of 1 kg is suspended by a thread. It is (i) lifted up with an acceleration 4.9 m/s2, (ii) lowered with an acceleration 4.9 m/s2.The ratio of the tensions is [1998]a)3 : 1b)1 : 2c)1 : 3d)2 : 1Correct answer is option 'A'. Can you explain this answer? tests, examples and also practice NEET tests.
Explore Courses for NEET exam

Top Courses for NEET

Explore Courses
Signup for Free!
Signup to see your scores go up within 7 days! Learn & Practice with 1000+ FREE Notes, Videos & Tests.
10M+ students study on EduRev