NEET Exam  >  NEET Questions  >  2 moles of N2 is mixed with 6 moles of H2 in ... Start Learning for Free
2 moles of N2 is mixed with 6 moles of H2 in a closed vessel of one litre capacity. If 50% N2 is converted into NH3 at equilibrium, the value of Kc for the reaction, 
N2(g) + 3H2(g) ⇌ 2NH3(g) is
  • a)
    4/27
  • b)
    27/4
  • c)
    1/27
  • d)
    27
Correct answer is option 'A'. Can you explain this answer?
Most Upvoted Answer
2 moles of N2 is mixed with 6 moles of H2 in a closed vessel of one li...
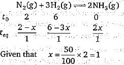
The equation of formation of ammonia is 

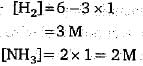
∴  [N2] = 2 - 1 = 1 M

∴ 
= 4/27
Free Test
Community Answer
2 moles of N2 is mixed with 6 moles of H2 in a closed vessel of one li...
Given:
2 moles of N2
6 moles of H2
50% N2 is converted into NH3 at equilibrium

To find:
Kc for the reaction N2(g) + 3H2(g) ⇌ 2NH3(g)

Solution:

Step 1: Write the balanced equation for the given reaction.

N2(g) + 3H2(g) ⇌ 2NH3(g)

Step 2: Write the expression for Kc.

Kc = [NH3]2 / [N2]1[H2]3

Step 3: Determine the initial and equilibrium concentrations of the reactants and products.

Initial concentration:
[N2] = 2 moles / 1 L = 2 M
[H2] = 6 moles / 1 L = 6 M
[NH3] = 0 M

At equilibrium:
[N2] = (2 - 0.5) moles / 1 L = 1.5 M
[H2] = (6 - 1.5) moles / 1 L = 4.5 M
[NH3] = 0.5 moles / 1 L = 0.5 M

Step 4: Substitute the equilibrium concentrations into the expression for Kc and solve for Kc.

Kc = (0.5)2 / (1.5)(4.5)3
Kc = 4/27

Therefore, the value of Kc for the given reaction is 4/27.

Answer: (a) 4/27
Explore Courses for NEET exam

Top Courses for NEET

Question Description
2 moles of N2 is mixed with 6 moles of H2 in a closed vessel of one litre capacity. If 50% N2 is converted into NH3 at equilibrium, the value of Kc for the reaction,N2(g) + 3H2(g) 2NH3(g) isa)4/27b)27/4c)1/27d)27Correct answer is option 'A'. Can you explain this answer? for NEET 2025 is part of NEET preparation. The Question and answers have been prepared according to the NEET exam syllabus. Information about 2 moles of N2 is mixed with 6 moles of H2 in a closed vessel of one litre capacity. If 50% N2 is converted into NH3 at equilibrium, the value of Kc for the reaction,N2(g) + 3H2(g) 2NH3(g) isa)4/27b)27/4c)1/27d)27Correct answer is option 'A'. Can you explain this answer? covers all topics & solutions for NEET 2025 Exam. Find important definitions, questions, meanings, examples, exercises and tests below for 2 moles of N2 is mixed with 6 moles of H2 in a closed vessel of one litre capacity. If 50% N2 is converted into NH3 at equilibrium, the value of Kc for the reaction,N2(g) + 3H2(g) 2NH3(g) isa)4/27b)27/4c)1/27d)27Correct answer is option 'A'. Can you explain this answer?.
Solutions for 2 moles of N2 is mixed with 6 moles of H2 in a closed vessel of one litre capacity. If 50% N2 is converted into NH3 at equilibrium, the value of Kc for the reaction,N2(g) + 3H2(g) 2NH3(g) isa)4/27b)27/4c)1/27d)27Correct answer is option 'A'. Can you explain this answer? in English & in Hindi are available as part of our courses for NEET. Download more important topics, notes, lectures and mock test series for NEET Exam by signing up for free.
Here you can find the meaning of 2 moles of N2 is mixed with 6 moles of H2 in a closed vessel of one litre capacity. If 50% N2 is converted into NH3 at equilibrium, the value of Kc for the reaction,N2(g) + 3H2(g) 2NH3(g) isa)4/27b)27/4c)1/27d)27Correct answer is option 'A'. Can you explain this answer? defined & explained in the simplest way possible. Besides giving the explanation of 2 moles of N2 is mixed with 6 moles of H2 in a closed vessel of one litre capacity. If 50% N2 is converted into NH3 at equilibrium, the value of Kc for the reaction,N2(g) + 3H2(g) 2NH3(g) isa)4/27b)27/4c)1/27d)27Correct answer is option 'A'. Can you explain this answer?, a detailed solution for 2 moles of N2 is mixed with 6 moles of H2 in a closed vessel of one litre capacity. If 50% N2 is converted into NH3 at equilibrium, the value of Kc for the reaction,N2(g) + 3H2(g) 2NH3(g) isa)4/27b)27/4c)1/27d)27Correct answer is option 'A'. Can you explain this answer? has been provided alongside types of 2 moles of N2 is mixed with 6 moles of H2 in a closed vessel of one litre capacity. If 50% N2 is converted into NH3 at equilibrium, the value of Kc for the reaction,N2(g) + 3H2(g) 2NH3(g) isa)4/27b)27/4c)1/27d)27Correct answer is option 'A'. Can you explain this answer? theory, EduRev gives you an ample number of questions to practice 2 moles of N2 is mixed with 6 moles of H2 in a closed vessel of one litre capacity. If 50% N2 is converted into NH3 at equilibrium, the value of Kc for the reaction,N2(g) + 3H2(g) 2NH3(g) isa)4/27b)27/4c)1/27d)27Correct answer is option 'A'. Can you explain this answer? tests, examples and also practice NEET tests.
Explore Courses for NEET exam

Top Courses for NEET

Explore Courses
Signup for Free!
Signup to see your scores go up within 7 days! Learn & Practice with 1000+ FREE Notes, Videos & Tests.
10M+ students study on EduRev