Class 10 Exam  >  Class 10 Questions  >  If sin sin α = 4/5and cos β = 4/5,... Start Learning for Free
 If sin sin α = 4/5 and cos β = 4/5, then which of the following is true?
  • a)
    α < β
  • b)
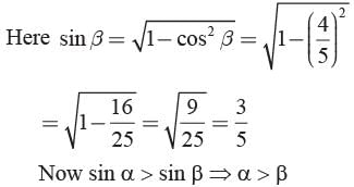
    α > β
  • c)
    α = β
  • d)
    None of these
Correct answer is option 'B'. Can you explain this answer?
Most Upvoted Answer
If sin sin α = 4/5and cos β = 4/5, then whichof the followi...
It seems like your question is incomplete. Could you please provide more information or clarify your question?
Free Test
Community Answer
If sin sin α = 4/5and cos β = 4/5, then whichof the followi...
Explore Courses for Class 10 exam

Top Courses for Class 10

Question Description
If sin sin α = 4/5and cos β = 4/5, then whichof the following is true?a)α < βb)α > βc)α = βd)None of theseCorrect answer is option 'B'. Can you explain this answer? for Class 10 2025 is part of Class 10 preparation. The Question and answers have been prepared according to the Class 10 exam syllabus. Information about If sin sin α = 4/5and cos β = 4/5, then whichof the following is true?a)α < βb)α > βc)α = βd)None of theseCorrect answer is option 'B'. Can you explain this answer? covers all topics & solutions for Class 10 2025 Exam. Find important definitions, questions, meanings, examples, exercises and tests below for If sin sin α = 4/5and cos β = 4/5, then whichof the following is true?a)α < βb)α > βc)α = βd)None of theseCorrect answer is option 'B'. Can you explain this answer?.
Solutions for If sin sin α = 4/5and cos β = 4/5, then whichof the following is true?a)α < βb)α > βc)α = βd)None of theseCorrect answer is option 'B'. Can you explain this answer? in English & in Hindi are available as part of our courses for Class 10. Download more important topics, notes, lectures and mock test series for Class 10 Exam by signing up for free.
Here you can find the meaning of If sin sin α = 4/5and cos β = 4/5, then whichof the following is true?a)α < βb)α > βc)α = βd)None of theseCorrect answer is option 'B'. Can you explain this answer? defined & explained in the simplest way possible. Besides giving the explanation of If sin sin α = 4/5and cos β = 4/5, then whichof the following is true?a)α < βb)α > βc)α = βd)None of theseCorrect answer is option 'B'. Can you explain this answer?, a detailed solution for If sin sin α = 4/5and cos β = 4/5, then whichof the following is true?a)α < βb)α > βc)α = βd)None of theseCorrect answer is option 'B'. Can you explain this answer? has been provided alongside types of If sin sin α = 4/5and cos β = 4/5, then whichof the following is true?a)α < βb)α > βc)α = βd)None of theseCorrect answer is option 'B'. Can you explain this answer? theory, EduRev gives you an ample number of questions to practice If sin sin α = 4/5and cos β = 4/5, then whichof the following is true?a)α < βb)α > βc)α = βd)None of theseCorrect answer is option 'B'. Can you explain this answer? tests, examples and also practice Class 10 tests.
Explore Courses for Class 10 exam

Top Courses for Class 10

Explore Courses
Signup for Free!
Signup to see your scores go up within 7 days! Learn & Practice with 1000+ FREE Notes, Videos & Tests.
10M+ students study on EduRev