Question Description
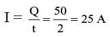
If 50 coulombs of charge flows in 2s, what will be the current flow in the circuit ?a)20 Ab)50 Ac)45 Ad)25 ACorrect answer is option 'D'. Can you explain this answer? for Class 10 2025 is part of Class 10 preparation. The Question and answers have been prepared
according to
the Class 10 exam syllabus. Information about If 50 coulombs of charge flows in 2s, what will be the current flow in the circuit ?a)20 Ab)50 Ac)45 Ad)25 ACorrect answer is option 'D'. Can you explain this answer? covers all topics & solutions for Class 10 2025 Exam.
Find important definitions, questions, meanings, examples, exercises and tests below for If 50 coulombs of charge flows in 2s, what will be the current flow in the circuit ?a)20 Ab)50 Ac)45 Ad)25 ACorrect answer is option 'D'. Can you explain this answer?.
Solutions for If 50 coulombs of charge flows in 2s, what will be the current flow in the circuit ?a)20 Ab)50 Ac)45 Ad)25 ACorrect answer is option 'D'. Can you explain this answer? in English & in Hindi are available as part of our courses for Class 10.
Download more important topics, notes, lectures and mock test series for Class 10 Exam by signing up for free.
Here you can find the meaning of If 50 coulombs of charge flows in 2s, what will be the current flow in the circuit ?a)20 Ab)50 Ac)45 Ad)25 ACorrect answer is option 'D'. Can you explain this answer? defined & explained in the simplest way possible. Besides giving the explanation of
If 50 coulombs of charge flows in 2s, what will be the current flow in the circuit ?a)20 Ab)50 Ac)45 Ad)25 ACorrect answer is option 'D'. Can you explain this answer?, a detailed solution for If 50 coulombs of charge flows in 2s, what will be the current flow in the circuit ?a)20 Ab)50 Ac)45 Ad)25 ACorrect answer is option 'D'. Can you explain this answer? has been provided alongside types of If 50 coulombs of charge flows in 2s, what will be the current flow in the circuit ?a)20 Ab)50 Ac)45 Ad)25 ACorrect answer is option 'D'. Can you explain this answer? theory, EduRev gives you an
ample number of questions to practice If 50 coulombs of charge flows in 2s, what will be the current flow in the circuit ?a)20 Ab)50 Ac)45 Ad)25 ACorrect answer is option 'D'. Can you explain this answer? tests, examples and also practice Class 10 tests.