NEET Exam  >  NEET Questions  >   Aniline is less basic than cyclohexylamine b... Start Learning for Free
Aniline is less basic than cyclohexylamine because of which of the following reasons?
  • a)
    −I effect of NH2.
  • b)
    +R effect of NH2.
  • c)
    −R effect of NH2.
  • d)
    None of these.
Correct answer is option 'B'. Can you explain this answer?
Most Upvoted Answer
Aniline is less basic than cyclohexylamine because of which of the fo...
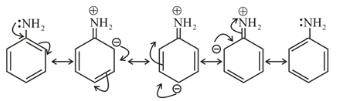
Basic nature of amine is based on the availability of lone pairs of N atoms. Aniline is an aromatic amine and its lone pair of electrons are involved in resonance, hence, lone pair are not available for donation.
While cyclohexylamine is an aliphatic amine and electron density on N−atom increases by +I effect of cyclohexyl group, hence, basic nature increases.
Free Test
Community Answer
Aniline is less basic than cyclohexylamine because of which of the fo...
Explanation:

+R effect of NH2:
- Aniline has a benzene ring with an NH2 group attached to it, which exhibits a +R effect due to the lone pair of electrons on the nitrogen atom.
- This +R effect disperses the electron density throughout the benzene ring, making the nitrogen less available for protonation and hence reducing the basicity of aniline.
- In contrast, cyclohexylamine does not have such an electron-donating group attached to the amino group, leading to higher basicity compared to aniline.
Therefore, the reason why aniline is less basic than cyclohexylamine is due to the +R effect of the NH2 group in aniline, which reduces its basicity.
Explore Courses for NEET exam

Top Courses for NEET

Question Description
Aniline is less basic than cyclohexylamine because of which of the following reasons?a)−I effect of NH2.b)+R effect of NH2.c)−R effect of NH2.d)None of these.Correct answer is option 'B'. Can you explain this answer? for NEET 2025 is part of NEET preparation. The Question and answers have been prepared according to the NEET exam syllabus. Information about Aniline is less basic than cyclohexylamine because of which of the following reasons?a)−I effect of NH2.b)+R effect of NH2.c)−R effect of NH2.d)None of these.Correct answer is option 'B'. Can you explain this answer? covers all topics & solutions for NEET 2025 Exam. Find important definitions, questions, meanings, examples, exercises and tests below for Aniline is less basic than cyclohexylamine because of which of the following reasons?a)−I effect of NH2.b)+R effect of NH2.c)−R effect of NH2.d)None of these.Correct answer is option 'B'. Can you explain this answer?.
Solutions for Aniline is less basic than cyclohexylamine because of which of the following reasons?a)−I effect of NH2.b)+R effect of NH2.c)−R effect of NH2.d)None of these.Correct answer is option 'B'. Can you explain this answer? in English & in Hindi are available as part of our courses for NEET. Download more important topics, notes, lectures and mock test series for NEET Exam by signing up for free.
Here you can find the meaning of Aniline is less basic than cyclohexylamine because of which of the following reasons?a)−I effect of NH2.b)+R effect of NH2.c)−R effect of NH2.d)None of these.Correct answer is option 'B'. Can you explain this answer? defined & explained in the simplest way possible. Besides giving the explanation of Aniline is less basic than cyclohexylamine because of which of the following reasons?a)−I effect of NH2.b)+R effect of NH2.c)−R effect of NH2.d)None of these.Correct answer is option 'B'. Can you explain this answer?, a detailed solution for Aniline is less basic than cyclohexylamine because of which of the following reasons?a)−I effect of NH2.b)+R effect of NH2.c)−R effect of NH2.d)None of these.Correct answer is option 'B'. Can you explain this answer? has been provided alongside types of Aniline is less basic than cyclohexylamine because of which of the following reasons?a)−I effect of NH2.b)+R effect of NH2.c)−R effect of NH2.d)None of these.Correct answer is option 'B'. Can you explain this answer? theory, EduRev gives you an ample number of questions to practice Aniline is less basic than cyclohexylamine because of which of the following reasons?a)−I effect of NH2.b)+R effect of NH2.c)−R effect of NH2.d)None of these.Correct answer is option 'B'. Can you explain this answer? tests, examples and also practice NEET tests.
Explore Courses for NEET exam

Top Courses for NEET

Explore Courses
Signup for Free!
Signup to see your scores go up within 7 days! Learn & Practice with 1000+ FREE Notes, Videos & Tests.
10M+ students study on EduRev