NEET Exam  >  NEET Questions  >  A gas is compressed at a constant pressure of... Start Learning for Free
A gas is compressed at a constant pressure of 50 N/m2 from a volume of 10 m3 to a volume of 4 m3. Energy of 100 J is then added to the gas by heating. Its internal energy is
  • a)
    Increased by 400 J
  • b)
    Increased by 200 J
  • c)
    Increased by 100 J
  • d)
    Decreased by 200 J
Correct answer is option 'A'. Can you explain this answer?
Verified Answer
A gas is compressed at a constant pressure of 50 N/m2 from a volume of...
View all questions of this test
Most Upvoted Answer
A gas is compressed at a constant pressure of 50 N/m2 from a volume of...
Free Test
Community Answer
A gas is compressed at a constant pressure of 50 N/m2 from a volume of...
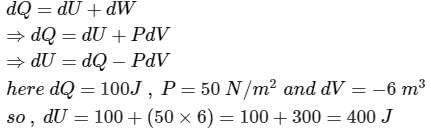
acc to formula q=u+w first calculate work done by -pdeltav then it comes -400 and 100 j heat is given apply values in formula
Explore Courses for NEET exam

Top Courses for NEET

Question Description
A gas is compressed at a constant pressure of 50 N/m2 from a volume of 10 m3 to a volume of 4 m3. Energy of 100 J is then added to the gas by heating. Its internal energy isa)Increased by 400 Jb)Increased by 200 Jc)Increased by 100 Jd)Decreased by 200 JCorrect answer is option 'A'. Can you explain this answer? for NEET 2025 is part of NEET preparation. The Question and answers have been prepared according to the NEET exam syllabus. Information about A gas is compressed at a constant pressure of 50 N/m2 from a volume of 10 m3 to a volume of 4 m3. Energy of 100 J is then added to the gas by heating. Its internal energy isa)Increased by 400 Jb)Increased by 200 Jc)Increased by 100 Jd)Decreased by 200 JCorrect answer is option 'A'. Can you explain this answer? covers all topics & solutions for NEET 2025 Exam. Find important definitions, questions, meanings, examples, exercises and tests below for A gas is compressed at a constant pressure of 50 N/m2 from a volume of 10 m3 to a volume of 4 m3. Energy of 100 J is then added to the gas by heating. Its internal energy isa)Increased by 400 Jb)Increased by 200 Jc)Increased by 100 Jd)Decreased by 200 JCorrect answer is option 'A'. Can you explain this answer?.
Solutions for A gas is compressed at a constant pressure of 50 N/m2 from a volume of 10 m3 to a volume of 4 m3. Energy of 100 J is then added to the gas by heating. Its internal energy isa)Increased by 400 Jb)Increased by 200 Jc)Increased by 100 Jd)Decreased by 200 JCorrect answer is option 'A'. Can you explain this answer? in English & in Hindi are available as part of our courses for NEET. Download more important topics, notes, lectures and mock test series for NEET Exam by signing up for free.
Here you can find the meaning of A gas is compressed at a constant pressure of 50 N/m2 from a volume of 10 m3 to a volume of 4 m3. Energy of 100 J is then added to the gas by heating. Its internal energy isa)Increased by 400 Jb)Increased by 200 Jc)Increased by 100 Jd)Decreased by 200 JCorrect answer is option 'A'. Can you explain this answer? defined & explained in the simplest way possible. Besides giving the explanation of A gas is compressed at a constant pressure of 50 N/m2 from a volume of 10 m3 to a volume of 4 m3. Energy of 100 J is then added to the gas by heating. Its internal energy isa)Increased by 400 Jb)Increased by 200 Jc)Increased by 100 Jd)Decreased by 200 JCorrect answer is option 'A'. Can you explain this answer?, a detailed solution for A gas is compressed at a constant pressure of 50 N/m2 from a volume of 10 m3 to a volume of 4 m3. Energy of 100 J is then added to the gas by heating. Its internal energy isa)Increased by 400 Jb)Increased by 200 Jc)Increased by 100 Jd)Decreased by 200 JCorrect answer is option 'A'. Can you explain this answer? has been provided alongside types of A gas is compressed at a constant pressure of 50 N/m2 from a volume of 10 m3 to a volume of 4 m3. Energy of 100 J is then added to the gas by heating. Its internal energy isa)Increased by 400 Jb)Increased by 200 Jc)Increased by 100 Jd)Decreased by 200 JCorrect answer is option 'A'. Can you explain this answer? theory, EduRev gives you an ample number of questions to practice A gas is compressed at a constant pressure of 50 N/m2 from a volume of 10 m3 to a volume of 4 m3. Energy of 100 J is then added to the gas by heating. Its internal energy isa)Increased by 400 Jb)Increased by 200 Jc)Increased by 100 Jd)Decreased by 200 JCorrect answer is option 'A'. Can you explain this answer? tests, examples and also practice NEET tests.
Explore Courses for NEET exam

Top Courses for NEET

Explore Courses
Signup for Free!
Signup to see your scores go up within 7 days! Learn & Practice with 1000+ FREE Notes, Videos & Tests.
10M+ students study on EduRev