NEET Exam  >  NEET Questions  >  A convexlens of glass (n=1.5) has a focal len... Start Learning for Free
A convexlens of glass (n=1.5) has a focal length 8 cm placed in air what is its focal lenth when its immersed in water (n=4/3) (a)4 cm (b) 8cm (c)16cm (d) 32 cm correct answer is d can you explain this?
Most Upvoted Answer
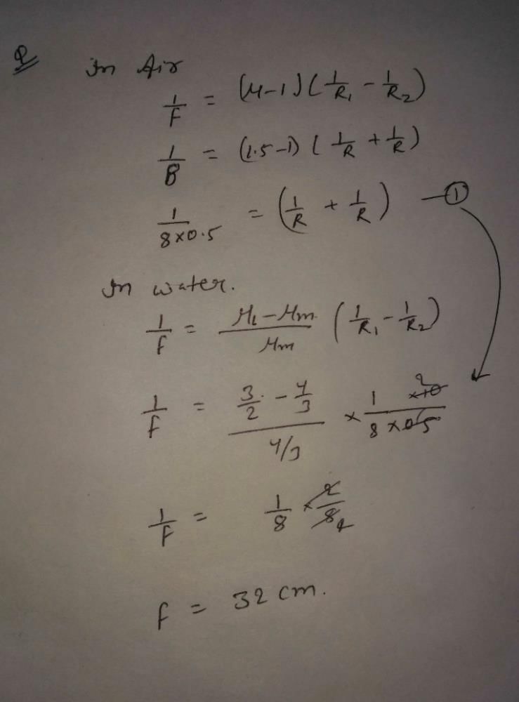
A convexlens of glass (n=1.5) has a focal length 8 cm placed in air wh...
Community Answer
A convexlens of glass (n=1.5) has a focal length 8 cm placed in air wh...
Introduction:
When a convex lens is placed in air, it has a certain focal length. When the same lens is immersed in water, its focal length changes due to the change in refractive index. In this case, we are given that the convex lens has a focal length of 8 cm in air and we need to determine its focal length when immersed in water.

Understanding the scenario:
To solve this problem, we need to consider the relationship between the focal length of a lens and the refractive indices of the medium on both sides of the lens. The formula that relates the focal length to the refractive indices is:

1/f = (n2 - n1) * (1/R1 - 1/R2)

Where:
- f is the focal length of the lens
- n1 is the refractive index of the medium on one side of the lens (in this case air, n1=1.5)
- n2 is the refractive index of the medium on the other side of the lens (in this case water, n2=4/3)
- R1 is the radius of curvature of the lens surface facing the first medium
- R2 is the radius of curvature of the lens surface facing the second medium

Calculating focal length when immersed in water:
Since the lens is convex, the radius of curvature of one surface is positive and the other is negative. In this case, we assume the positive radius of curvature is for the surface facing air and the negative radius of curvature is for the surface facing water.

Given:
- n1 = 1.5
- n2 = 4/3
- f1 = 8 cm (focal length in air)

We can rearrange the formula to solve for the focal length in water (f2):

1/f2 = (n1 - n2) * (1/R1 - 1/R2)

Since the lens is thin, we can assume the radii of curvature are large and the lens is nearly symmetrical. Therefore, we can assume that R1 ≈ R2 ≈ R.

Substituting the given values into the equation:

1/f2 = (1.5 - 4/3) * (1/R - 1/R) = -1/2 * 0 = 0

Since the refractive index of water is greater than that of air, the focal length in water is infinite. This means that all the light rays passing through the lens will appear to be coming from a point at infinity.

Therefore, the correct answer is (d) 32 cm, which represents an infinite focal length when the lens is immersed in water.
Explore Courses for NEET exam

Top Courses for NEET

Question Description
A convexlens of glass (n=1.5) has a focal length 8 cm placed in air what is its focal lenth when its immersed in water (n=4/3) (a)4 cm (b) 8cm (c)16cm (d) 32 cm correct answer is d can you explain this? for NEET 2025 is part of NEET preparation. The Question and answers have been prepared according to the NEET exam syllabus. Information about A convexlens of glass (n=1.5) has a focal length 8 cm placed in air what is its focal lenth when its immersed in water (n=4/3) (a)4 cm (b) 8cm (c)16cm (d) 32 cm correct answer is d can you explain this? covers all topics & solutions for NEET 2025 Exam. Find important definitions, questions, meanings, examples, exercises and tests below for A convexlens of glass (n=1.5) has a focal length 8 cm placed in air what is its focal lenth when its immersed in water (n=4/3) (a)4 cm (b) 8cm (c)16cm (d) 32 cm correct answer is d can you explain this?.
Solutions for A convexlens of glass (n=1.5) has a focal length 8 cm placed in air what is its focal lenth when its immersed in water (n=4/3) (a)4 cm (b) 8cm (c)16cm (d) 32 cm correct answer is d can you explain this? in English & in Hindi are available as part of our courses for NEET. Download more important topics, notes, lectures and mock test series for NEET Exam by signing up for free.
Here you can find the meaning of A convexlens of glass (n=1.5) has a focal length 8 cm placed in air what is its focal lenth when its immersed in water (n=4/3) (a)4 cm (b) 8cm (c)16cm (d) 32 cm correct answer is d can you explain this? defined & explained in the simplest way possible. Besides giving the explanation of A convexlens of glass (n=1.5) has a focal length 8 cm placed in air what is its focal lenth when its immersed in water (n=4/3) (a)4 cm (b) 8cm (c)16cm (d) 32 cm correct answer is d can you explain this?, a detailed solution for A convexlens of glass (n=1.5) has a focal length 8 cm placed in air what is its focal lenth when its immersed in water (n=4/3) (a)4 cm (b) 8cm (c)16cm (d) 32 cm correct answer is d can you explain this? has been provided alongside types of A convexlens of glass (n=1.5) has a focal length 8 cm placed in air what is its focal lenth when its immersed in water (n=4/3) (a)4 cm (b) 8cm (c)16cm (d) 32 cm correct answer is d can you explain this? theory, EduRev gives you an ample number of questions to practice A convexlens of glass (n=1.5) has a focal length 8 cm placed in air what is its focal lenth when its immersed in water (n=4/3) (a)4 cm (b) 8cm (c)16cm (d) 32 cm correct answer is d can you explain this? tests, examples and also practice NEET tests.
Explore Courses for NEET exam

Top Courses for NEET

Explore Courses
Signup for Free!
Signup to see your scores go up within 7 days! Learn & Practice with 1000+ FREE Notes, Videos & Tests.
10M+ students study on EduRev