All Exams  >   MCAT  >   MCAT Chemical and Physical Foundations  >   All Questions

All questions of Circuit Elements (PHY) for MCAT Exam

A car battery has ________ resistance than a dry cell.
  • a)
    same
  • b)
    much lower
  • c)
    slightly greater
  • d)
    much higher
Correct answer is option 'B'. Can you explain this answer?

Vijay Bansal answered
Dry cell car batteries consist of a fiberglass mat that contains electrolytes. The electrolytes cause a chemical reaction that produces electricity. ... Although dry cell car batteries are expensive, they last longer than conventional wet cell batteries. They also have more power to crank the car's engine in bad weather.

Which combination of magnetic field lines and poles shows two magnets repelling each other?
  • a)
  • b)
  • c)
  • d)
Correct answer is option 'B'. Can you explain this answer?

Dr Manju Sen answered
  • The discovery that one particular pole of a magnet orients northward, whereas the other pole orients southward allowed people to identify the north and south poles of any magnet.
  • It was then noticed that the north poles of two different magnets repel each other, and likewise for the south poles. Conversely, the north pole of one magnet attracts the south pole of other magnets.
  • This situation is analogous to that of electric charge, where like charges repel and unlike charges attract. In magnets, we simply replace the charge with a pole: Like poles repel and unlike poles attract.

Under what condition, the current drawn from the cell is maximum?​
  • a)
    R = r
  • b)
    R > r
  • c)
    R = 0
  • d)
    R < r
Correct answer is option 'C'. Can you explain this answer?

Ritu Singh answered
The maximum current can be drawn from a cell if the external resistance R = 0.
When current is to be drawn at max then the conducting wire rating comes high such that resistance is less.
Resistance R = rho x l/a
Rho = resistivity constant
L=length
a=area of cross-section
Hence, if the area of cross-section increases resistance decreases by increasing the rate of current to flow.

emf is measured in​
  • a)
    J.C
  • b)
    J
  • c)
    J/C
  • d)
    J/C/m
Correct answer is option 'C'. Can you explain this answer?

Rohan Singh answered
Electromotive force, abbreviated emf (denoted and measured in volts), is the electrical intensity or "pressure" developed by a source of electrical energy such as a battery or generator. ... This potential difference can drive an electric current if an external circuit is attached to the terminals. It is commonly measured in units of volts, equivalent in the metre–kilogram–second system to one joule per coulomb of electric charge. In the electrostatic units of the centimetre–gram–second system, the unit of electromotive force is the statvolt, or one erg per electrostatic unit of charge.

Current provided by a battery is maximum when
  • a)
    internal resistance is equal to external resistance
  • b)
    internal resistance is greater then external resistance
  • c)
    internal resistance is less than external resistance
  • d)
    none of these
Correct answer is option 'A'. Can you explain this answer?

Pooja Mehta answered
Current provided by a battery is maximum when internal resistance is equal to external resistance. As a battery discharges, not only does it diminish its internal store of energy, but its internal resistance also increases (as the electrolyte becomes less and less conductive), and its open-circuit cell voltage decreases (as the chemicals become more and more dilute). The most deceptive change that a discharging battery exhibits is increased resistance.

Which one of the Maxwell’s laws leads to the conclusion that there are no magnetic field loops that are not closed?
  • a)
    Faraday’s law
  • b)
    Gauss’ law for magnetism
  • c)
    Gauss’ law for electricity
  • d)
    Ampere-Maxwell law
Correct answer is option 'B'. Can you explain this answer?

Jyoti Kapoor answered
In physics, Gauss's law for magnetism is one of the four Maxwell's equations that underlie classical electrodynamics. It states that the magnetic field B has divergence equal to zero,in other words, that it is a solenoidal vector field. It is equivalent to the statement that magnetic monopoles do not exist.Rather than "magnetic charges", the basic entity for magnetism is the magnetic dipole. (If monopoles were ever found, the law would have to be modified, as elaborated below.)

Gauss's law for magnetism can be written in two forms, a differential form and an integral form. These forms are equivalent due to the divergence theorem.

The name "Gauss's law for magnetism"is not universally used. The law is also called "Absence of free magnetic poles";one reference even explicitly says the law has "no name".It is also referred to as the "transversality requirement"because for plane waves it requires that the polarization be transverse to the direction of propagation.

Electromotive force is a
  • a)
    non contact force
  • b)
    potential
  • c)
    potential difference
  • d)
    contact force
Correct answer is option 'C'. Can you explain this answer?

EMF
 is 
equal
 to 
potential difference
 between plates when the battery is not connected to any external circuit. 
Potential difference
 is due to the charge accumulation on the plates. So 
EMF
 produces a 
potential difference
 between the two terminals which drives the current

How can a magnetic field be produced?
  • a)
    Using a permanent magnet
  • b)
    Electric current
  • c)
    Using a temporary magnet
  • d)
    Using a permanent magnet or electric current
Correct answer is option 'D'. Can you explain this answer?

Sanaya Kumar answered
Production of Magnetic Field

Magnetic field can be produced in various ways. The correct answer is option 'D', which states that a magnetic field can be produced using a permanent magnet or electric current. Let's discuss both of these methods in detail.

Using a Permanent Magnet

A permanent magnet is a magnet that retains its magnetic properties even in the absence of an external magnetic field. The magnetic field produced by a permanent magnet is due to the alignment of its atomic dipoles. The magnetic field produced by a permanent magnet is static and does not change in strength or direction over time.

Using an Electric Current

An electric current is a flow of electric charge through a conductor. When an electric current flows through a conductor, it produces a magnetic field around the conductor. The strength and direction of the magnetic field depend on the strength and direction of the current flowing through the conductor. The magnetic field produced by an electric current is dynamic and can change in strength and direction over time.

Conclusion

In conclusion, a magnetic field can be produced using a permanent magnet or electric current. While the magnetic field produced by a permanent magnet is static, the magnetic field produced by an electric current is dynamic and can change in strength and direction over time.

Magnetic field strength due to a short bar magnet on its axial line at a distance x is B. What is its value at the same distance on the equatorial line?
  • a)
    B/2
  • b)
    B
  • c)
    2B
  • d)
    4B
Correct answer is option 'A'. Can you explain this answer?

Vivek Rana answered
The magnetic field at any axial point is given by, B =  2μo/ 4πx3
Similarly, the field at any equatorial point is given by, B = μo/ 4πx3
Thus, the field at any equatorial point is half of what it is at an axial point.
 

A transformer is a device that takes an input voltage and produces an output voltage that can be either larger or smaller than the input voltage, depending on the transformer design. Although the voltage is changed by the transformer, energy is not, so the input power equals the output power. A particular transformer produces an output voltage that is 300 percent of the input voltage. What is the ratio of the output current to the input current?
  • a)
    1:03
  • b)
    3:01
  • c)
    0.25
  • d)
    300:01:00
Correct answer is option 'A'. Can you explain this answer?

Aiden Davis answered
Understanding Transformer Basics
Transformers operate on the principle of electromagnetic induction, which allows them to change voltage levels while conserving power. The relationship between input and output voltages and currents is defined by the following key points:
Power Conservation
- The power input to a transformer (Vin * Iin) equals the power output (Vout * Iout).
- This means: Vin * Iin = Vout * Iout.
Output Voltage Calculation
- In this case, the output voltage (Vout) is 300% of the input voltage (Vin).
- Therefore, Vout = 3 * Vin.
Finding the Current Ratio
- Using the power conservation equation:
Vin * Iin = Vout * Iout
=> Vin * Iin = (3 * Vin) * Iout
- Simplifying gives:
Iin = 3 * Iout.
Current Ratio
- Rearranging the equation yields:
Iout = Iin / 3.
- This indicates the output current (Iout) is one-third of the input current (Iin).
Final Ratio
- The ratio of output current to input current is:
Iout : Iin = 1 : 3.
Thus, the correct answer is option 'A' (1:3). This demonstrates that as the voltage increases, the current decreases proportionally to maintain power balance in the transformer.

In a parallel-plate capacitor, how can the capacitance be decreased?
  • a)
    Increasing the stored charge in the capacitor
  • b)
    Decreasing the stored charge in the capacitor
  • c)
    Decreasing the gap between the charged plates
  • d)
    Increasing the gap between the charged plates
Correct answer is option 'D'. Can you explain this answer?

Ayesha Joshi answered
  • Recall the capacitance formula for a parallel plate capacitor.
  • The formula is C = ε0A/d, with A being the surface area of one of the plates and d being the distance between two plates. Note that capacitance can be inferred purely from geometric properties of the capacitor.
  • Increasing the gap between in charged plates will decrease the capacitance.

Four capacitors of 10 pF are connected in parallel with two of the capacitors having a Mylar dielectric (κ = 3) of thickness L inserted and two capacitors only separated by air at a distance L. A voltage potential of 40 V is applied across the circuit and subsequently disconnected. The Mylar dielectrics are then removed and charges are allowed to equilibrate in the system. What is the energy stored on each capacitor?
  • a)
    32000 pJ
  • b)
    64000 pJ
  • c)
    6400 pJ
  • d)
    3200 pJ
Correct answer is option 'A'. Can you explain this answer?

Ellie Gonzales answered
Εr = 3.1) and the other two having a ceramic dielectric (εr = 8.5).

To find the equivalent capacitance of the parallel combination of capacitors, we can simply add up the individual capacitances.

For the capacitors with Mylar dielectric, the capacitance is given by:

C1 = C2 = 10 pF

For the capacitors with ceramic dielectric, the capacitance is given by:

C3 = C4 = 10 pF

Now, we can calculate the total capacitance:

Ctotal = C1 + C2 + C3 + C4
= 10 pF + 10 pF + 10 pF + 10 pF
= 40 pF

Therefore, the equivalent capacitance of the parallel combination of these four capacitors is 40 pF.

What is the equivalent capacitance of this circuit? 
  • a)
    2/3 pF
  • b)
    6 pF
  • c)
    1/6 pF
  • d)
    3/2 pF
Correct answer is option 'B'. Can you explain this answer?

Ayesha Joshi answered
  • Recall equivalent capacitance in a circuit where the elements are connected in parallel.
  • Cequivalent = C1 + C2 + C3.
  • The equivalent capacitance is 6 pF.

A parallel plate capacitor separated 10 cm, by an air barrier is connected to a 100 V battery. The capacitance of the capacitor is 1 picofarad while the battery is connected. Without disconnecting the battery, the parallel plates are moved so they are now 20 cm apart. What happens to the energy stored in the capacitor?
  • a)
    It increases fourfold
  • b)
    It increases by half
  • c)
    It decreases fourfold
  • d)
    It decreases by half
Correct answer is option 'D'. Can you explain this answer?

Ayesha Joshi answered
  • Since this question does not ask for actual numeric answers, it's easier to determine relationships rather than "plugging-and-chugging" for the actual answer. Recall the formula for energy stored in a capacitor: U = 0.5QV. Try to express this in terms of C.
  • Given Q = CV, U = 0.5 CV2. You know that  so substitute that in.
  • Since the potential difference is maintained, you should see that  d increases from 10 cm to 20 cm. 
  • The energy stored in the capacitor decreases by half when the plates are moved from 10 cm to 20 cm apart.

What is the correct order of the capacitances of these circuits, from lowest to highest? Assume all capacitors have the same capacitance.
  • a)
    B < A < C < D
  • b)
    D < C < B < A
  • c)
    C < B < A < D
  • d)
    D < C < A < B
Correct answer is option 'C'. Can you explain this answer?

Orion Classes answered
  • For convenience, we’ll say that the capacitance of each capacitor is 1 F; the answer is independent of what value we pick.
  • We instantly can infer the capacitance of choice “C” using the series addition formula, 1/Ctotal = 1 + 1 and so Ctotal = 1/2.
  • For circuit “D,” we first use the series formula for the bottom rung, 1/Cbottom = 1/1 + 1/1 F, to find that Cbottom = 1/2 F. We then use the parallel formula to add this rung to the capacitance of the top rung for a total capacitance of Ctotal  = 1/2 + 1 = 3/2 F
  • We can determine the capacitance of circuit “A” by first combining the two capacitors in parallel Ctotal  = 1 + 1 = 2 F. We then add this in series with the capacitor on the left to find 1/Ctotal = 1/2 + 1 F, and so Ctotal = 2/3 F
  • We recognize that circuit “B” is the same as circuit “D”, except we have to add another capacitor in series with the entirety of choice D. 1/Ctotal = 2/3 + 1 and so Ctotal = 3/5 F
  • Combining our results, we find C < B < A < D

The term open circuit means
  • a)
    the condition R = r is true
  • b)
    the two terminals are directly connected
  • c)
    maximum possible current flows in the cell
  • d)
    no current flows through the cell
Correct answer is option 'D'. Can you explain this answer?

Chirag Joshi answered
**Explanation:**

An open circuit refers to a circuit in which there is a break or interruption in the path of current flow. In other words, it is a circuit where there is no complete conducting path for the current to flow.

When a circuit is open, it means that the two terminals of a device or component are not connected to each other. This can occur due to a variety of reasons such as a switch being turned off, a wire being disconnected, or a component being faulty.

When there is an open circuit, the flow of current is interrupted and cannot complete the loop. As a result, no current flows through the circuit. This is why the correct answer is option 'D' - no current flows through the cell.

**Example:**

Let's consider a simple circuit consisting of a battery and a resistor. When the circuit is closed, i.e., there is a complete conducting path, the current can flow from the battery through the resistor and back to the battery. This is called a closed circuit.

However, if we disconnect one end of the resistor from the battery, we create an open circuit. In this case, there is no complete path for the current to flow. Even though the battery might have the potential to drive current, it cannot do so because there is no closed loop.

**Effects of an Open Circuit:**

- No current flows through the circuit.
- The flow of electrons is interrupted.
- The components in the circuit do not receive any power or voltage.
- Devices such as lights, motors, or other electrical appliances connected to the circuit will not function.

**Conclusion:**

In summary, an open circuit refers to a circuit where there is a break or interruption in the path of current flow. This means that no current flows through the circuit, and the components connected to the circuit do not receive any power or voltage.

Two α-partides have the ratio of their velocities as 3 : 2 on entering the field. If they move in different circular paths, then the ratio of the radii of their paths is
  • a)
    2 : 3
  • b)
    3 : 2
  • c)
    9 : 4
  • d)
    4 : 9
Correct answer is option 'B'. Can you explain this answer?

Amar Dasgupta answered
Explanation:

Given:
Two α-particles have the ratio of their velocities as 3 : 2 on entering the field.

Let:
Let the velocities of the two α-particles be 3v and 2v respectively.
Let the radii of their circular paths be r1 and r2 respectively.

Velocity-radius relationship:
The ratio of the velocities is equal to the inverse ratio of the radii of circular paths.
Therefore, 3v/2v = r2/r1
=> r2/r1 = 3/2
=> r1/r2 = 2/3

Conclusion:
The ratio of the radii of their circular paths is 2 : 3.
Therefore, the correct answer is option 'b) 3 : 2'.

Which of the following will most likely increase the electric field between the plates of a parallel plate capacitor?
  • a)
    Adding a resistor that is connected to the capacitor in series
  • b)
    Adding a resistor that is connected to the capacitor in parallel
  • c)
    Increasing the distance between the plates
  • d)
    Adding an extra battery to the system
Correct answer is option 'D'. Can you explain this answer?

Orion Classes answered
The electric field between two plates of a parallel plate capacitor is related to the potential difference between the plates of the capacitor and the distance between the plates, as shown in the formula E = V/d.
The addition of another battery will increase the total voltage applied to the circuit, which, consequently, is likely to increase the electric field. The addition of a resistor in series will increase the resistance and decrease the voltage applied to the capacitor, eliminating choice (A). Adding a resistor in parallel will not change the voltage drop across the capacitor and should not change the electric field, eliminating choice (B). Increasing the distance between the plates, choice (C), would decrease the electric field, not increase it.

A 10 Ω resistor carries a current that varies as a function of time as shown. How much energy has been dissipated by the resistor after 5 s?
  • a)
    40 J
  • b)
    50 J
  • c)
    80 J
  • d)
    120 J
Correct answer is option 'D'. Can you explain this answer?

Orion Classes answered
Power is energy dissipated per unit time; therefore, the energy dissipated is E = PΔt. In the five-second interval during which the resistor is active, it has a 2 A current for three of those seconds. The power dissipated by a resistor R carrying a current I is P = I2R. Therefore, the energy dissipated is
E = I2RΔt =(2 A)2(10 ?)(3 s)= 4 × 10 × 3 = 120 J

Which of the following best characterizes ideal voltmeters and ammeters?
  • a)
    Ideal voltmeters and ammeters have infinite resistance.
  • b)
    Ideal voltmeters and ammeters have no resistance.
  • c)
    Ideal voltmeters have infinite resistance, and ideal ammeters have no resistance.
  • d)
    Ideal voltmeters have no resistance, and ideal ammeters have infinite resistance.
Correct answer is option 'C'. Can you explain this answer?

Orion Classes answered
While this is primarily a recall question, it should also be intuitive. Voltmeters are attempting to determine a change in potential from one point to another. To do this, they should not provide an alternate route for charge flow and should therefore have infinite resistance. Ammeters attempt to determine the flow of charge at a single point and should not contribute to the resistance of a series circuit; therefore, they should have no resistance.

A charge of 2 μC flows from the positive terminal of a 6 V battery, through a 100 Ω resistor, and back through the battery to the positive terminal. What is the total potential difference experienced by the charge?
  • a)
    0 V
  • b)
    0.002 V
  • c)
    0.2 V
  • d)
    6 V
Correct answer is option 'A'. Can you explain this answer?

Orion Classes answered
Kirchhoff's loop rule states that the total potential difference around any closed loop of a circuit is 0 V. Another way of saying this is that the voltage gained in the battery (6 V) will be used up through the resistors. Because this charge both started and ended at the positive terminal, its total potential difference is therefore 0 V. 6 V, choice (D), is the voltage gained in the battery as well as the voltage drop in the resistors—creating a net sum of 0 V.

Which of the following parallel plate capacitors will store the most charge on the positive plate when a potential difference V is applied across the plate?
  • a)
    Plates separated by vacuum of distance L/2
  • b)
    Plates separated by vacuum of distance L
  • c)
    Plates separated by glass of thickness L
  • d)
    Plates separated by glass of thickness L/2
Correct answer is option 'D'. Can you explain this answer?

Ayesha Joshi answered
  • A dielectric is a material that is placed between parallel plate capacitors to increase the capacitance of the capacitor. Glass and vacuum are examples of dielectric material.
  • Capacitance increases by the dielectric constant as: Cnew = C*K. Vacuum is the most basic dielectric at κ = 1. Almost everything you encounter on the test that is not air or vacuum will have a higher dielectric constant (glass is 5). Given C = ε0A/d and Q = CV, we can have the modified Q = Kε0AV/d  for a capacitor with a dielectric.
  • The parallel plate capacitor with plates separated by glass of thickness L/2 will store the most charge.

The resistance of two conductors of equal cross-sectional area and equal lengths are compared, and are found to be in the ratio 1:2. The resistivities of the materials from which they are constructed must therefore be in what ratio?
  • a)
    1:01
  • b)
    1:02
  • c)
    2:01
  • d)
    4:01
Correct answer is option 'B'. Can you explain this answer?

Orion Classes answered
The resistance of a resistor is given by the formula R = ρL/A 
Thus, there is a direct proportionality between resistance and resistivity. Because the other variables are equal between the two resistors, we can determine that if R1:R2 is a 1:2 ratio, then ρ1: ρ2 is also a 1:2 ratio.

If a defibrillator passes 15 A of current through a patient's body for 0.1 seconds, how much charge goes through the patient's skin?
  • a)
    0.15 C
  • b)
    1.5 C
  • c)
    15 C
  • d)
    150 C
Correct answer is option 'B'. Can you explain this answer?

Orion Classes answered
Electrical current is defined as charge flow, or in mathematical terms, charge transferred per time: I = Q/Δt. 
A 15 A current that acts for 0.1 s will transfer 15 A × 0.1 s = 1.5 C of charge.

A voltaic cell provides a current of 0.5 A when in a circuit with a 3 Ω resistor. If the internal resistance of the cell is 0.1 Ω, what is the voltage across the terminals of the battery when there is no current flowing?
  • a)
    0.05 V
  • b)
    1.5 V
  • c)
    1.505 V
  • d)
    1.55 V
Correct answer is option 'D'. Can you explain this answer?

Orion Classes answered
This question tests our understanding of batteries in a circuit. The voltage across the terminals of the battery when there is no current flowing is referred to as the electromotive force (emf or ε of the battery). However, when a current is flowing through the circuit, the voltage across the terminals of the battery is decreased by an amount equal to the current multiplied by the internal resistance of the battery. Mathematically, this is given by the equation
V = ε – irint
To determine the emf of the battery, first calculate the voltage across the battery when the current is flowing. For this, we can use Ohm's law:
V = IR
= (0.5 A) (3Ω) = 1.5 V
Because we know the internal resistance of the battery, the current, and the voltage, we can calculate the emf:
ε = V + irint  
= 1.5 V + (0.5 A) (0.1Ω)
= 1.5 + 0.05 = 1.55 V
The answer makes sense in the context of a real battery because its internal resistance is supposed to be very small so that the voltage provided to the circuit is as close as possible to the emf of the cell when there is no current running.

If you are given a large parallel-plate capacitor containing just air as a dielectric, which of the following tools would be sufficient to determine the capacitor’s capacitance?
  • a)
    An ohmmeter
  • b)
    A voltmeter and an ammeter
  • c)
    A ruler and an ohmmeter
  • d)
    A ruler
Correct answer is option 'D'. Can you explain this answer?

Ayesha Joshi answered
  • Think about which formulas you know for capacitors: the fact that the question specifies parallel-plate means that you can use the formula C = ε0 A/d in addition to Q = CV.
  • It is impossible to infer the capacitance purely from the voltage or resistance of a circuit with a capacitor; you must also know the charge on the capacitor.
  • The plate area and separation are both purely geometric properties, and so a ruler is all you need to determine the capacitance.

What is the equivalent capacitance of this circuit?
  • a)
    1/6 pF
  • b)
    2/3 pF
  • c)
    6 pF
  • d)
    3/2 pF
Correct answer is option 'B'. Can you explain this answer?

Ayesha Joshi answered
  • Recall equivalent capacitance in a circuit where the elements are connected in series.
  • To find Cequivalent, you must take the reciprocal of both sides. The equivalent capacitance is 2/3 pF.

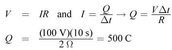
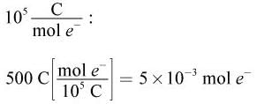
How many moles of electrons pass through a circuit containing a 100 V battery and a 2 Ω resistor over a period of 10 seconds?
(Note: )
  • a)
    5.18 × 10–3 moles
  • b)
    500 moles
  • c)
    5.18 × 103 moles
  • d)
    5.2 × 106 moles
Correct answer is option 'A'. Can you explain this answer?

Orion Classes answered
To determine the moles of charge that pass through the circuit over a period of 10 s, we will have to calculate the amount of charge running through the circuit. Charge is simply current times time, and the current can be calculated using Ohm's law:

Then, calculate the number of moles of charge that this represents by using the Faraday constant and approximating F as

This is closest to choice (A).

If the area of a capacitor's plates is doubled while the distance between them is halved, how will the final capacitance (Cf) compare to the original capacitance (Ci)?
  • a)
    Cf = Ci
  • b)
    Cf = 1/2 Ci
  • c)
    Cf = 2Ci
  • d)
    Cf = 4Ci
Correct answer is option 'D'. Can you explain this answer?

Orion Classes answered
This question should bring to mind the equation 
where ε0 is the permittivity of free space, A is the area of the plates, and d is the distance between the plates. From this equation, we can infer that doubling the area will double the capacitance, and halving the distance will also double the capacitance. Therefore, the new capacitance is four times larger than the initial capacitance.

When a positively charged particle enters a uniform magnetic field with uniform velocity, its trajectory can be (i) a straight line (ii) a circle (iii) a helix.
  • a)
    (i) only
  • b)
    (i) or (ii)
  • c)
    (i) or (iii)
  • d)
    any one of (i), (ii) and (iii)
Correct answer is option 'D'. Can you explain this answer?

Manoj Datta answered
Explanation:

Introduction:
When a positively charged particle enters a uniform magnetic field with a uniform velocity, its trajectory can be a straight line, a circle, or a helix. The exact trajectory depends on the initial conditions of the particle, such as its velocity, charge, and angle of entry into the magnetic field.

Effect of Magnetic Field on Charged Particle:
When a charged particle moves through a magnetic field, it experiences a force called the magnetic Lorentz force. This force acts perpendicular to both the velocity of the particle and the magnetic field. The magnitude of the magnetic force can be given by the equation F = qvBsinθ, where F is the force, q is the charge of the particle, v is the velocity of the particle, B is the magnetic field strength, and θ is the angle between the velocity and the magnetic field.

Force Acting on a Particle:
The force acting on a positively charged particle in a magnetic field can be determined by the right-hand rule. If the thumb of the right hand points in the direction of the velocity of the particle, and the fingers point in the direction of the magnetic field, then the palm will point in the direction of the force acting on the particle.

Possible Trajectories:
The trajectory of a charged particle in a magnetic field depends on the initial conditions of the particle. The following are the possible trajectories:

1. Straight Line:
If the initial velocity of the particle is parallel or antiparallel to the magnetic field, then the force acting on the particle will be zero. In this case, the particle will continue to move in a straight line without any deflection.

2. Circle:
If the initial velocity of the particle is perpendicular to the magnetic field, the force acting on the particle will be maximum. This force will act as a centripetal force and cause the particle to move in a circular path with a constant radius.

3. Helix:
If the initial velocity of the particle has both a component perpendicular to the magnetic field and a component parallel to the magnetic field, the force acting on the particle will have both a radial and an axial component. This will cause the particle to move in a helical path.

Conclusion:
In conclusion, when a positively charged particle enters a uniform magnetic field with a uniform velocity, its trajectory can be a straight line, a circle, or a helix depending on the initial conditions of the particle. Therefore, the correct answer is option 'D' - any one of (i), (ii), and (iii).

Chapter doubts & questions for Circuit Elements (PHY) - MCAT Chemical and Physical Foundations 2025 is part of MCAT exam preparation. The chapters have been prepared according to the MCAT exam syllabus. The Chapter doubts & questions, notes, tests & MCQs are made for MCAT 2025 Exam. Find important definitions, questions, notes, meanings, examples, exercises, MCQs and online tests here.

Chapter doubts & questions of Circuit Elements (PHY) - MCAT Chemical and Physical Foundations in English & Hindi are available as part of MCAT exam. Download more important topics, notes, lectures and mock test series for MCAT Exam by signing up for free.

Top Courses MCAT