All Exams  >   JEE  >   Chapter-wise Tests for JEE Main & Advanced  >   All Questions

All questions of Moving Charges and Magnetism for JEE Exam

Two concentric coils carry the same current in opposite directions. The diameter of the inner coil is half that of the outer coil. If the magnetic field produced by the outer coil at the common centre are 1 T, the net field at the centre is
  • a)
    4T
  • b)
    2T
  • c)
    1T
  • d)
    3T
Correct answer is option 'C'. Can you explain this answer?

Krishna Iyer answered

The magnetic field produced by a current-carrying coil at its center is given by the formula,
B = μ0 * (N*I/R),
where,
B is the magnetic field,
μ0 is the permeability of free space,
N is the number of turns in the coil,
I is the current through the coil, and
R is the radius of the coil.
In this case, both the coils carry the same current but in opposite directions. So, the fields produced by them will be in opposite directions. Also, the diameter of the inner coil is half that of the outer coil. Thus, the radius of the inner coil will be half that of the outer coil.
Therefore, the field at the center due to the inner coil will be double that due to the outer coil (because the magnetic field is inversely proportional to the radius).
Since the fields are in opposite directions, the net field at the center will be the difference between the two fields. That is, 2B (due to the inner coil) - B (due to the outer coil) = B.
So, if the field due to the outer coil is 1 T (Tesla), the net field at the center will also be 1 T.
Hence, the correct answer is 3. 1T.

Ampere’s circuital law is analogous to a law in electrostatics.That law is
  • a)
    Gauss’s law
  • b)
    Kirchhoff’s law
  • c)
    Faraday’s law
  • d)
    Coulomb’s law
Correct answer is option 'A'. Can you explain this answer?

Vijay Bansal answered
Ampere's law is similar to Guass's law in electrostatics. 

Guass's law corelates surface integral of electric field E with charge q over a surface. 

Ampere's law corelates the line integral of magnetic field B with current over a closed path.

If a long hollow copper pipe carries a direct current, the magnetic field associated with the current will be
  • a)
    only outside the pipe
  • b)
    only inside the pipe
  • c)
    neither outside nor inside the pipe
  • d)
    both inside and outside the pipe
Correct answer is option 'A'. Can you explain this answer?

Hansa Sharma answered
For a loop inside the hollow portion of the conductor, the current enclosed is zero until the loop is on the surface or inside the material of the conductor.
∴Binside=0
For any loop outside, current enclosed by the amperian loop is not zero, hence the magnetic field is non-zero.
 

Wire of length l, carries a steady current I. It is bent first to form a circular coil of one turn. The same wire of same length is now bent more sharply to give two loops of smaller radius the magnetic field at the centre caused by the same current is
  • a)
    one third of its initial value
  • b)
    nine times of its initial value
  • c)
    four times of its initial value
  • d)
    unaltered
Correct answer is option 'C'. Can you explain this answer?

Om Desai answered
Let the radii be r1​ and r2​ respectively.
Since there are two turns of radius r2​, r1​=2r2​
Magnetic field B at the centre of  the coil of radius r1​ B1​=​μo​i/2r1​=​μo​i​/4r2
Magnetic field B at the center of the coil of radius r2​ B2​=2×​μo​i​/2r2
∴ B2/B1 =(2× μo​i/2r2​)/(μo​i /4r2​)​ ​​=4
Hence the answer is option C, four times its initial value.
 

 Ratio of magnetic force Fm and electric force Fe acting on a charge getting undeflected through the field is
  • a)
    E/B
  • b)
    B/E
  • c)
    1
  • d)
    0
Correct answer is option 'C'. Can you explain this answer?

Lavanya Menon answered
if the particle is undeflected, then the magnetic force equals the electric force:
q x v x B=q x E
B is the magnitude of the magnetic field
E is the magnitude of the electric field
v is the magnitude of the velocity of the particle.
If the forces are equal then:
v=E/B
For undeflected v=1
E/B=1

A particle of charge 1.6 x 10-19 C and mass 1.8 x 10-27 kg is moving around the path of radius 2 x 104 m with velocity 2.4 x 106 m/s. The magnetic field necessary is (in Wb/m²)​
  • a)
    13.5 x 10-6
  • b)
    135 x 10-6
  • c)
    0.135 x 10
  • d)
    1.35 x 10-6
Correct answer is option 'D'. Can you explain this answer?

Explanation:

When an electron is projected in a uniform electric field and a uniform magnetic field, both pointing in the same direction as the electron's velocity, the following happens:

1. Electric field:

The electric field exerts a force on the electron in the direction of the field. Since the electron is negatively charged, it experiences a force opposite to the direction of the electric field. Therefore, the electric field does not affect the direction of the electron's motion.

2. Magnetic field:

The magnetic field exerts a force on the electron perpendicular to both the field direction and the electron's velocity. The force is given by the Lorentz force equation:

F = q(v x B)

where F is the force, q is the charge of the electron, v is its velocity, and B is the magnetic field.

In this case, the force is directed inward, towards the center of the circular path. The magnitude of the force is given by:

|F| = qvB

where |F| is the magnitude of the force.

Since the force is perpendicular to the velocity, it causes the electron to move in a circular path around the magnetic field lines. The radius of the path is given by:

r = mv/qB

where r is the radius of the path, m is the mass of the electron, and v is its velocity.

3. Combined effect:

Since the electric field does not affect the direction of the electron's motion, the only effect is due to the magnetic field. As the electron moves in a circular path, it loses kinetic energy due to the work done by the magnetic force. Therefore, its velocity decreases in magnitude.

Hence, the correct option is D- The electron velocity will decrease in magnitude.

A circular coil of radius r carries current I. The magnetic field at its center is B. at what distance from the center on the axis of the coil magnetic field will be B/8
  • a)
    √3R
  • b)
    √2R
  • c)
    2R
  • d)
    3R
Correct answer is option 'A'. Can you explain this answer?

Shilpa Saha answered
As you know that magnetic field at point on the axis of current carrying ring is 


where x is the point on the axis of ring, R is the radius of ring , i is the current carrying on ring and N is the number of turns .



This is possible only when x = +-√3R 
Hence, √3R distance from the centre magnetic field is equal to magnetic field at centre .

The force acting on a charge q moving with velocityin a magnetic field is given by
  • a)
  • b)
  • c)
  • d)
Correct answer is option 'C'. Can you explain this answer?

Neha Sharma answered
The magnetic force on a free moving charge is perpendicular to both the velocity of the charge and the magnetic field with direction given by the right hand rule . The force is given by the charge times the vector product of velocity and magnetic field.

Which of the following laws give the direction of induced e.m.f
  • a)
    Faraday’s Law
  • b)
    Ampere’s Theorem
  • c)
    Biot Savart Law
  • d)
    Lenz’s Law
Correct answer is option 'D'. Can you explain this answer?

Knowledge Hub answered
Lenz’s law is used for determining the direction of induced current.
Lenz’s law of electromagnetic induction states that the direction of induced current in a given magnetic field is such that it opposes the induced change by changing the magnetic field.
Following is the formula of Lenz’s law:
ϵ=−N (∂ϕB/∂t)
Where,
  • ε is the induced emf
  • ∂ΦB is the change in magnetic flux
  • N is the number of turns in the coil
Lenz’s law finds application in electromagnetic braking and in electric generators

A Charge is fired through a magnetic field. The magnetic force acting on it is maximum when the angle between the direction of motion and magnetic field is
  • a)
    π
  • b)
    zero
  • c)
    π/2
  • d)
    π/4
Correct answer is option 'C'. Can you explain this answer?

Krishna Iyer answered
The force will have a magnitude F=qvB sin q, thus it will be maximum if sin q is maximum. Thus, angle between velocity and magnetic field should be 90o or the charge particle moves perpendicular to the velocity vector.

A rectangular loop carrying a current I is situated near a long straight wire such that the wire is parallel to the one of the sides of the loop and is in a plane of the loop. If a steady current I is established in wire as shown in figure, the loop will
  • a)
    move away from the wire or towards right
  • b)
    remain stationary
  • c)
    rotate about an axis parallel to the wire
  • d)
    move towards the wire
Correct answer is option 'D'. Can you explain this answer?

Top Rankers answered
The long straight wire and side AB  carry current in the same direction, hence will attract each other.
The long straight wire and side CD carry current in the opposite direction, hence will repel each other.
Force on side BC  will be equal and opposite to force on side DA.
Since CD  is farther from the wire than AB,  the force of attraction on  AB  will exceed the force of repulsion on CD.
Hence, there will be a net force of attraction on the loop ABCD and it will move towards the wire.

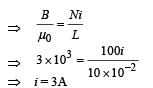
A coil having N turns is wound tightly in the form of a spiral with inner and outer radii a and b respectively. When a current I passes through the coil, the magnetic field at the center is
  • a)
  • b)
  • c)
  • d)
Correct answer is option 'C'. Can you explain this answer?

Krishna Iyer answered
Let us consider a thickness dx of wire. Let it be at a distance x from the centre O.
Number of turns per unit length
∴ Number of turns in thickness dx =dx
Small amount of magnetic field is produced at O due to thickness dx of the wire.
On integrating, we get,
 

When a charged particle enters a magnetic field in a direction perpendicular to the field, which one of the following does not change?
  • a)
    velocity of the particle.
  • b)
    mass of the particle.
  • c)
    energy of the particle.
  • d)
    momentum of the particle
Correct answer is option 'C'. Can you explain this answer?

Geetika Shah answered
The magnetic force acts perpendicular to the velocity of the particle. This  causes circular motion. In the magnetic field the speed and kinetic energy of the particle remain constant, but the direction is altered at each instant by the perpendicular magnetic force.

A wire of length l, carrying current is bent into a loop and placed with its plane perpendicular to a magnetic field. In which of the following shapes, is the torque acting on the loop maximum?
  • a)
    Rectangle
  • b)
    Circle
  • c)
    Square
  • d)
    Equilateral triangle
Correct answer is option 'B'. Can you explain this answer?

Om Desai answered
The torque on a current loop depends upon the area of the current loop, when the magnetic field is perpendicular to the plane of the loops the torque has its maximum value,
Τ=I A B
We know I and B for all these cases but A depends upon the geometry. The circle has the greatest area so it should provide the greatest torque.

When a charged particle moves in a magnetic field, its kinetic energy always
  • a)
    remain constant
  • b)
    first increases then decreases.
  • c)
    decreases
  • d)
    increases
Correct answer is option 'A'. Can you explain this answer?

Rajeev Saxena answered
The magnetic field does no work, so the kinetic energy and speed of a charged particle in a magnetic field remain constant. The magnetic force, acting perpendicular to the velocity of the particle, will cause circular motion.

Time taken by an ion to describe a semicircular path, in a cyclotron
  • a)
    Depends upon the electric field.
  • b)
    depends upon the radius of the circular path.
  • c)
    depends upon speed of ion.
  • d)
    is constant.
Correct answer is option 'D'. Can you explain this answer?

Pragati Dey answered
As the speed of the ions increases, its mass also increases according to the relation-


Where m0 = the rest mass of the ion

m = the mass of ion while moving with velocity 

c = velocity of light.

 Now, the time taken by the ion to describe semicircular path is given by



It shows that as v increases, t increases. It means that the positive ion will take longer time to describe semicircular path than the time for half cycle of oscillating electric field. As a result, the ion will not arrive in the gap between the two dees exactly at the instant; the polarity of the two dees is reversed and hence will not be accelerated further.  

Wires 1 and 2 carrying currents i1 and i2 respectively are inclined at an angle θ to each other. What is the force on a small element dl of wire 2 at a distance of r from wire 1 (as shown in figure) due to the magnetic field of wire 1? 
  • a)
  • b)
  • c)
  • d)
Correct answer is option 'C'. Can you explain this answer?

Hansa Sharma answered
Magnetic field due to current in wire 1 at point P distant r from the wire is
 (directed perpendicular to the plane  of paper, inwards)
The force exerted due to this magnetic field on current element i2 dl is
dF = i2 dl B sin 90°

In two current carrying conductors parallel currents________, anti parallel currents_________ .​
  • a)
    attract , attract
  • b)
    attract , repel
  • c)
    repel , attract
  • d)
    repel , repel
Correct answer is option 'B'. Can you explain this answer?

Pooja Mehta answered
Two current carrying straight conductors placed near each other will exert (magnetic) forces on each other due to magnetic field of each other. ... Note − Parallel current carrying wires attract, and anti-parallel current carrying wires repel each other.

The connecting wires of a battery of an automobile carry 200 A of current. Calculate the force per unit length between the wires if they are 50 cm long and 2 cm apart?​
  • a)
    4Nm-1
  • b)
    0.4Nm-1
  • c)
    0.04Nm-1
  • d)
    40Nm-1
Correct answer is option 'B'. Can you explain this answer?

Naina Bansal answered
Current in both wires, I = 200 A

Distance between the wires, r = 2 cm = 0.02 m

Length of the two wires, l = 50 cm = 0.5 m

Force between the two wires is given by the relation,

where, μo = permeability of free space = 4π x 10^-7 TmA^-1

So, F = [4π x 10^-7 x (200^2)]/[2π x 0.02]
=>   F   =  0.4 Nm^-1

Chapter doubts & questions for Moving Charges and Magnetism - Chapter-wise Tests for JEE Main & Advanced 2025 is part of JEE exam preparation. The chapters have been prepared according to the JEE exam syllabus. The Chapter doubts & questions, notes, tests & MCQs are made for JEE 2025 Exam. Find important definitions, questions, notes, meanings, examples, exercises, MCQs and online tests here.

Chapter doubts & questions of Moving Charges and Magnetism - Chapter-wise Tests for JEE Main & Advanced in English & Hindi are available as part of JEE exam. Download more important topics, notes, lectures and mock test series for JEE Exam by signing up for free.

Top Courses JEE

Related JEE Content