All Exams  >   JEE  >   Chapter-wise Tests for JEE Main & Advanced  >   All Questions

All questions of Sequences and Series for JEE Exam

What is the 50th term of the sequence   √3, 3, 3√3, 9, ......
  • a)
    (√3)49
  • b)
    (√3)50
  • c)
    349
  • d)
    350
Correct answer is option 'B'. Can you explain this answer?

Nandini Iyer answered
an = ar(n-1)
 Given, a = √3, r = 3/√3
​r = √3
a50 = ar(n-1)
= (√3)(√3)(50-1)
= (√3)(√3)49
= (√3)50

 Find the missing number. 1, 4, 9, 16, 25, 36, 49, (....)
  • a)
    64
  • b)
    54
  • c)
    56
  • d)
    81
Correct answer is option 'A'. Can you explain this answer?

Anjana Sharma answered
The given number series as follow as 1^2, 2^2, 3^2, 4^2, 5^2, 6^2, 7^2, 8^2, ...
So the next number is 8^2 = 64.

The terms of an A.P. are doubled, then the resulting sequence is
  • a)
    An A.P. with common difference equal to the common difference of the original A.P​
  • b)
    An A.P. with common difference thrice the common difference of the original A.P.
  • c)
    An A.P. with common difference double the common difference of the original A.P.
  • d)
    An A.P. with common difference half the common difference of the original A.P.
Correct answer is option 'C'. Can you explain this answer?

Lavanya Menon answered
The general form of an AP is  a,  a+d, a+2d,.....
where a is the first term and d is the common difference  
If we double the terms,  the new sequence would be
A , a+2d, a+4d,......
We can observe that this sequence is also an AP
First term is a
Common difference is 2d  nth term= 2a+(n-1)2d               
= 2[a+(n-1)d]

The next term of the sequence 1, 2, 4, 7,11,…. Is
  • a)
    18
  • b)
    17
  • c)
    16
  • d)
    15
Correct answer is option 'C'. Can you explain this answer?

Imk Pathsala answered
The given series is: 1,2,4,7,11,...
Difference between second and first term = 2 - 1 = 1
Difference between third and second term = 4 - 2 = 2
Difference between fourth and third term = 7 - 4 = 3
Difference between fifth and fourth term = 11 - 7 = 4
Difference between sixth and fifth term = 16 - 11 = 5

The sum of the first hundred even natural numbers divisible by 5 is
  • a)
    55005
  • b)
    55000
  • c)
    50000
  • d)
    50500
Correct answer is option 'D'. Can you explain this answer?

Preeti Iyer answered
first even no. divisible by 5= 10

d=10

Sn = n/2(2a + (n-1) d)

S100= 100/2 (2(10) + (100-1)10)

S100=50(20 + 990)

S100= 50(1010)

S100 = 50500

Let a1, a2, a3, ....., a11 be real numbers satisfying
a1 = 15, 27 – 2a2 > 0 and ak = 2ak-1 – ak-2 for k = 3, 4, ...., 11
 [JEE 2010]
  • a)
    1
  • b)
    0
  • c)
    -1
  • d)
    2
Correct answer is option 'B'. Can you explain this answer?

= ak = 2ak-1 - ak-2
⇒ a1, a2, a3 ...., a11 are in A.P. with common difference d.
a1 = 15,a2 = 15+d, a3 = 15+2d ..... a11 = 15+ 10d 


⇒ 35d2 + 150d + 225 = 90
⇒ 35d2 + 150d + 135 = 0
⇒ 7d2 + 30d + 27 = 0



The first negative term of the  A.P.62,57,52…. is the
  • a)
    10th term
  • b)
    14th term
  • c)
    12th term
  • d)
    18th term
Correct answer is option 'B'. Can you explain this answer?

Naina Sharma answered
a = 62  d = 57 - 62 = -5
tn = a + (n-1)d
= 62 + (n-1)(-5)
= 62 - 5n + 5
= 67 - 5n
From the options, we take '14'
= 67 - 5(14)
= 67 - 70
= -3 (The first negative term will be at the 14th term)

The three numbers between 1 and 256 such that the sequence is in GP are
  • a)
    4,16,64
  • b)
    2,8,32
  • c)
    8,16,32
  • d)
    8,16,64
Correct answer is option 'A'. Can you explain this answer?

Pooja Shah answered
nth G.M. between a and b is
Gn = arn
Where common ratio is r = (b/a)(1/(n+1))
​So, to insert 3 geometric means between 1 and 256
 r = (b/a)(1/(n+1))
r = (256/(1)(1/(3+1))
r = (256)1/4
r  = (4)(4)1/4
r = 4
Gn = 1 * (4)n
G1 = 1 * (4)1 = 4
G2 = 1 * (4)2 = 16
G3 = 1 * (4)3 = 64
The terms are  4, 16, 64

How many terms of the series
24,20,16,…are required so that their sum is 72?
  • a)
    8 or 6
  • b)
    12
  • c)
    9 or 4
  • d)
    11
Correct answer is option 'C'. Can you explain this answer?

Naina Bansal answered
As given above we can clearly see that the given series forms an AP. So we can use the sum formula to calculate it.

= Sn = n / 2 [ 2a + ( n-1 ) d ]

So the values are :

a = 24

d = -4

n = ?

Sn = 72
So substitute in the formula to get the answer:

= 72 = n / 2 [ 2 ( 24 ) + ( n - 1 ) -4 ]

= 72 = n / 2 [ 48 - 4n + 4 ]

= 72 * 2 = n [ 52 - 4n ]

= 144 = 52n - 4n^2

= 4n^2 - 52n + 144 = 0 ------ Dividing by 4 throughout the equation we get,

= n^2 - 13n + 36

Factorizing the above quadratic equation we get,

= n^2 - 9n - 4n + 36 = 0

= n ( n - 9 ) -4 ( n - 9 ) = 0

= ( n - 4 ) ( n - 9 ) = 0

= n = 4 , 9

So the number of terms can be both 4 terms and 9 terms. This is because since the AP is decreasing. 
Hope it helps !!

Sum of infinite number of terms of GP is 20 and sum of their square is 100. The common ratio of GP is [2002]
  • a)
    5
  • b)
    3/5
  • c)
    8/5
  • d)
    1/5
Correct answer is option 'B'. Can you explain this answer?

Krishna Iyer answered
Let a = first term of G.P. and  r = common ratio of G.P.; Then G.P. is a, ar, ar2
Given 
Also 
 a2 = 100(1 – r)(1 + r)... (ii)
From (i), a2 = 400(1 – r)2;
From (ii), we get 100(1 – r)(1 + r) = 400(1 – r)2
⇒ 1 + r = 4 – 4r
⇒ 5r = 3 ⇒ r = 3/5.

If a, b, c, d are in H.P., then ab + bc + cd is
  • a)
    3 b d
  • b)
    (a + b) (c + d)
  • c)
    3 a d
  • d)
    3 a c
Correct answer is option 'C'. Can you explain this answer?

Rajesh Gupta answered
 Since a,b,c are in H.P, so b = 2ac/(a+c).
Also, b,c,d are in H.P, so c = 2bd/(b+d).
Therefore, (a+c)(b+d) = 2ac/b × 2bd/c
⇒ab+cb+ad+cd = 4ad
⇒ab+bc+cd = 3ad

 If A1, A2, A3,…., An are n numbers between a and b, such that a, A1, A2, A3,…, An, b are in A.P., then nth term from beginning is:
  • a)
    b
  • b)
    An-1
  • c)
    An
  • d)
    A1
Correct answer is option 'B'. Can you explain this answer?

Krishna Iyer answered
A1,A2,......, An are inserted between a and b then the series will become 
a, A1,A2,A3,......, An,b. Now a becomes the first term, A1 will be second, A2 will become third term
An will become A(n+1)th term 
therefore A(n-1) will become nth term.

The digits of a positive integer having three digits are in AP and sum of their digits is 21. The number obtained by reversing the digits is 396 less than the original number. Find the original number.
  • a)
    876
  • b)
    579
  • c)
    975
  • d)
    678
Correct answer is option 'C'. Can you explain this answer?

Let the digits at ones, tens and hundreds place be (a−d)a and (a+d) respectively. The, the number is
(a+d)×100+a×10+(a−d) = 111a+99d
The number obtained by reversing the digits is
(a−d)×+a×10+(a+d) = 111a−99d
It is given that the sum of the digits is 21.
(a−d)+a+(a+d) = 21                        ...(i)
Also it is given that the number obtained by reversing the digits is 594 less than the original number.
∴111a−99d = 111a+99d−396          ...(ii)
⟹ 3a = 21 and 198d = 396
⟹ a = 7 and d = -2
Original number = (a−d)×+a×10+(a+d)
= 100(9) + 10(7) + 5
= 975

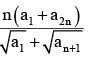
The first 4 terms of the sequence   are
  • a)
    2, 6, 13, 27
  • b)
    2, 5, 11, 23
  • c)
    2, 6, 11, 24
  • d)
    2, 5, 12, 37
Correct answer is option 'B'. Can you explain this answer?

Geetika Shah answered
a1 = 2 
a2 = 2a1 + 1
=> 2(2) + 1 = 5
a3 = 2a2 + 1
=> 2(5) + 1 = 11
a4 = 2a3 + 1
=> 2(11) + 1 = 23
Hence, the required series is : 2,5,11,23………

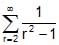
 If  + ...... upto ¥ =,
then  + ..... =
  • a)
     p2/12
  • b)
     p2/24 
  • c)
    p2/8
  • d)
    None of these
Correct answer is option 'C'. Can you explain this answer?

Sushil Kumar answered
(1/12 + 1/22 + 1/32 + ........∞) = π2/6
⇒ (1/12 + 1/32 + 1/52 + ........∞) + (1/22 + 1/42 + 1/62 + ........∞) = π2/6
=> (1/12 + 1/32 + 1/52 + ........∞) + 1/22(1/12 + 1/22 + 1/32 + ........∞) = π2/6
=> (1/12 + 1/32 + 1/52 + ........∞) + 1/222/6) = π2/6
=> (1/12 + 1/32 + 1/52 + ........∞) + π2/24 = π2/6
= π2/8

Sum to 20 terms of the series (1.3)2 + (2.5)2 + (3.7)2 +… is:
  • a)
    168090
  • b)
    198090
  • c)
    178090
  • d)
    188090
Correct answer is option 'D'. Can you explain this answer?

Mira Joshi answered
Given that (1.3)2, (2.5)2 , (3.7)2 .....................20 terms
Here 1,2,3,.................are in A.P.
a = 1, d = 1
tn = a + (n-1) d = 1 + (n -1)1 = n
3,5,7 ............. are in A.P
a = 3, d = 2
tn = a + (n-1) d = 3 + (n -1)2 = 2n + 1
∴ nth term = n(2n + 1)2 = 4n3 + 4n2 + n
Sum of n terms Sn = ∑ ( 4n3 + 4n2 + n ) = 4 { n2(n+1)2}/4 + 4 {n (n+1)(2n+1)} / 6 + n(n+1)/2
= { n2(n+1)2} + 2 {n (n+1)(2n+1)} / 3 + n(n+1)/2
Sum of 20 terms S20 = 400 × 441 + 40 × 41 × 7 + 10 ×21 = 176400 + 11480 + 210
 = 188090.

In an A.P., sum of first p terms is equal to the sum of first q terms. Sum of its first p + q terms is
  • a)
    0
  • b)
    - ( p + q)
  • c)
    p + q
  • d)
    none of these.
Correct answer is option 'A'. Can you explain this answer?

Sp = Sq
⇒  p/2(2a+(p−1)d) = q/2(2a+(q−1)d)
⇒ p(2a+(p−1)d) = q(2a+(q−1)d)
⇒ 2ap + p2d − pd = 2aq + q2d − qd
⇒ 2a(p−q) + (p+q)(p−q)d − d(p−q) = 0
⇒ (p−q)[2a + (p+q)d − d] = 0
⇒ 2a + (p+q)d − d = 0
⇒ 2a + ((p+q) − 1)d = 0
⇒ Sp+q = 0

Which term of the sequence 8 – 6i, 7 – 4i, 6 – 2i, ….is a real number ?
  • a)
    7th
  • b)
    6th
  • c)
    5th
  • d)
    4th
Correct answer is option 'D'. Can you explain this answer?

Preeti Iyer answered
a = 8−6i 
d = 7−4i−8+6i
= −1+2i
an = a+(n−1)d
a+ib = 8−6i+(n−1)(−1+2i)
a+ib = 8−6i+(−1)(n−1)+(n−1)2i
= − 6+2(n−1)=0
= 2(n−1) = 6
n = 4
an = 8−6i+(4−1)(−1+2i)
= 8−6i−3+6i = 5
4th term = 5

The next term of the sequence 1, 5, 14, 30, 55, …… is
  • a)
    95
  • b)
    91
  • c)
    90
  • d)
    80
Correct answer is option 'B'. Can you explain this answer?

The sequence is obtained by adding consecutive odd numbers, starting with 1.

1 + 0 = 1

1 + 3 = 4

4 + 5 = 9

9 + 7 = 16

16 + 9 = 25

So the next term in the sequence is 25.

Therefore, the complete sequence is:

1, 5, 14, 30, 55, 25

 The A.M. between two numbers is 34 and their G.M. is 16.The numbers are
  • a)
    32 and 8
  • b)
    64 and 4
  • c)
    62 and 6
  • d)
    60 and 18
Correct answer is option 'B'. Can you explain this answer?

Sushil Kumar answered
Let the numbers be x, y 
Then arithmatic mean = (x+y)/2 =34 
→x+y =68 
Also geometric mean =√(xy)=16 
oy xy=16^2=256 
Hence 
x(68−x)=256 
or x^2−68x+256=0 
(x−64)(x−4)=0 
Hence x=64 or x=4 
and y=4 or 64 
Larger number is 64

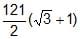
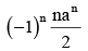
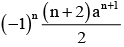
The value of 
  • a)
  • b)
  • c)
  • d)
Correct answer is option 'B'. Can you explain this answer?

Sai Kulkarni answered
= r(-a)r + a(r+1) (-a)r
= r(-a)r - (r+1) (-a)(r+1)
Tr = Vr - Vr+1
T1 = V1 - V2
T2 = V2 - V3
T3 = V3 - V4
.
.
.
.
.
Tn = Vn - V(n+1)
S = (r = 1 to n) Tr = V0 - V(n+1)
= (-1)n (n+1)(-a)(n+1)
 

The natural numbers are divided into groups 1, (2, 3), (4, 5, 6), (7, 8, 9, 10)....; then the sum of the numbers in the 50th group is
  • a)
    62500
  • b)
    62520
  • c)
    62525
  • d)
    65225
Correct answer is option 'C'. Can you explain this answer?

1
2 3
4 5 6
7 8 9 10
..........
Series for starting number:
1, 2, 4, 7, ...
Let  Tn = an2 + bn + c
a+b+c=1                         ......(1)
4a+2b+c=2                   ......(2)
9a+3b+c=4                   .......(3)
From eq (1), (2), (3), we get:
a= 1/2, b= −1/2, c=1
∴ Tn = n2/2 − n/2 + 1
∴ T50 = (50)2/2 − 50/2 + 1 = 1226
Now, elements in 50th group:
1226, 1227, 1228,.....(50 terms)
∴ Sn = 50/2[2×1226+(50−1)×1]
= 62525

What is the 10th A.M between 2 and 57 if 10 A.M s are inserted between these numbers?
  • a)
    54
  • b)
    53
  • c)
    52
  • d)
    55
Correct answer is option 'C'. Can you explain this answer?

Aryan Khanna answered
2 and 57 have 10 terms between them so including them there would be 12 terms
an = 57, a = 2, n = 12
an = a + (n-1)d
=> 57 = 2 + (12 - 1)d
=> 55 = 11d
d = 5
T10 = a + 10d
=> 2 + 10(5) 
= 52

If the sums of n, 2n and 3n terms of an AP are S1, S2 and S3 respectively, then 
  • a)
  • b)
  • c)
    3
  • d)
    none of these
Correct answer is option 'C'. Can you explain this answer?

Pooja Shah answered
Given x 2 - 3x = 0 
Factor x out in the expression on the left. 
x (x - 3) = 0 
For the product x (x - 3) to be equal to zero we nedd to have 
x = 0 or x - 3 = 0 
Solve the above simple equations to obtain the solutions. 
x = 0 
or 
x = 3 

The sum of the series 
  • a)
    49/25
  • b)
    49/24
  • c)
    47/24
  • d)
    49/29
Correct answer is option 'B'. Can you explain this answer?

Knowledge Hub answered
 (1 + 1/52) + (1/2 + 1/52) + (1/22 + 1/54)+......
= (1 + 1/2 + 1/22 +....) + (1/52 + 1/54 + 1/56 +......)
= r = (1/4)/(1/2) , r = (1/54)/(1/52)
⇒ r = 1/2 + 1/25
⇒ S = 1 + [(1/2)/(1-1/2)],    S = [(1/25)/(1-1/25)]
⇒ S = 1 + 1,    S = 1/24
Total sum = 2 + 1/24
⇒ 49/24 

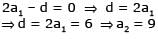
If the 10 times of the 10th term of an AP is equal to 15 times to the 15th term, then the 25th term is:
  • a)
    25 times of 25th term
  • b)
    zero
  • c)
    1
  • d)
    2
Correct answer is option 'B'. Can you explain this answer?

Nandini Patel answered
According to question ,
10 x 10th term =15 x 15th term 
let a is the first term and d is the common difference .
10 (a+9d)=15 (a+14d)

5a+120d=0

a +24d=0
now ,
25th term =a+(25-1) d=a+24d=0
hence 25th term=0

How many terms of the G.P. 4 + 16 + 64 + … will make the sum 5460?
  • a)
    9
  • b)
    7
  • c)
    8
  • d)
    6
Correct answer is option 'D'. Can you explain this answer?

Nandini Iyer answered
Sum (Sn) = a x (rn -1)/(r-1)
5460 = 4 x (4n -1)/3
16380 = 4n+1 - 4
16384 = 4n+1
4= 4n+1
7 = n + 1
n = 6

 
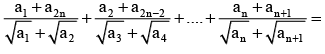
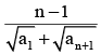
 If a1, a2....an are in A.P. with common difference d ¹ 0, then the sum of the series
(sin d) [cosec a1 cosec a2 + cosec a2 cosec a3 +..... ......+ cosec an – 1 cosec an]
  • a)
     sec a1 – sec an
  • b)
    cosec a1 – cosec an 
  • c)
    cot a1 – cot an
  • d)
     tan a1 – tan an
Correct answer is option 'C'. Can you explain this answer?

Krishna Iyer answered
A₁ , A₂ , A₃ , .......An are in AP and common difference is d
so, d = A₂ - A₁ = A₃ - A₂ = A₄ - A₃ =...... =An - An-1 -------(1)
 
Now, sind[cosecA₁.cosecA₂ + cosecA₂.cosecA₃ + cosecA₃.cosecA₄ ...........+ cosecAn-1.cosecAn ]
⇒ sind[1/sinA₁.sinA₂ + 1/sinA₂.sinA₃ + 1/sinA₃.sinA₄ + .........+ 1/sinAn₋₁.sinAn]
⇒ sin d/sinA₁.sinA₂ + sind/sinA₂.sinA₃ + sind/sinA₃.sinA₄ + .......+sind/sinAn₋₁.sinAn
⇒ sin(A₂ - A₁)/sinA₁.sinA₂ + sin(A₃ - A₂)/sinA₂.sinA₃ + sin(A₄ - A₃)/sinA₃.sinA₄ + .......+ sin(An-1 - An)/sinAn-1.sinAn [ from equation (1)
⇒ (sinA₁.cosA₂ - cosA₁.sinA₂)/sinA₁.sinA₂ + (sinA₂.cosA₃ - cosA₂.sinA₃)/sinA₂.sinA₃ +.........+ (sinAn-1.cosAn - cosAn-1.sinAn)/sinAn-1.sinAn
⇒cotA₂ - cotA₁ + cotA₃ - cotA₂ + cotA₄ - cotA₃ + .........cotAn - cotAn-1
⇒cotAn - cotA₁

Chapter doubts & questions for Sequences and Series - Chapter-wise Tests for JEE Main & Advanced 2025 is part of JEE exam preparation. The chapters have been prepared according to the JEE exam syllabus. The Chapter doubts & questions, notes, tests & MCQs are made for JEE 2025 Exam. Find important definitions, questions, notes, meanings, examples, exercises, MCQs and online tests here.

Chapter doubts & questions of Sequences and Series - Chapter-wise Tests for JEE Main & Advanced in English & Hindi are available as part of JEE exam. Download more important topics, notes, lectures and mock test series for JEE Exam by signing up for free.

Top Courses JEE

Related JEE Content