All Exams  >   GATE Physics  >   Solid State Physics for GATE  >   All Questions

All questions of Crystal Structure for GATE Physics Exam

Which of the following lattices has the least packing fraction?
  • a)
    fcc
  • b)
    bcc
  • c)
    simple cubic​
  • d)
    diamond
Correct answer is option 'D'. Can you explain this answer?

Jayant Mishra answered
packing fraction of simple cubic = 52% packing fraction of bee = 68%
packing fraction of fee = 74%
packing fraction of diamond = 34%
The correct answer is: diamond

What is the second nearest neighbour distance in a face centered cubic whose conventional unit cell parameter is a?
  • a)
    a
  • b)
  • c)
  • d)
Correct answer is option 'A'. Can you explain this answer?

Vedika Singh answered

Here AC is the nearest distance while AB or AD forms the nearest neighbour distance which is equal to ' a '.
The correct answer is: a

For a NaCI crystal, the cell edge a = 0.563 nm. The smallest angle at which Bragg reflection can occur corresponds to a set of planes whose indices are :
  • a)
    [1 1 0]
  • b)
    [2 0 0]
  • c)
    [1 0 0]
  • d)
    [1 1 1]
Correct answer is option 'D'. Can you explain this answer?

Jayant Mishra answered
The correct answer is Option 4: [1 1 1]. The smallest angle at which Bragg reflection can occur corresponds to a set of planes with indices [1 1 1]. This is because the interplanar spacing d of the crystal planes is equal to the unit cell dimension ao for NaCl crystals. Thus, for Bragg's law to be satisfied, the path length difference between waves effectively reflected by two adjacent planes must be equal to 2d sin 8, or mA, where m is an integer. For m = 1, the Bragg angle 8 is equal to arcsin (1/2a) which is equal to arcsin (1/2 x 0.563) = 54.7°. The Miller indices of the planes satisfying this condition are [1 1 1].

The number of atoms per unit area of the plane [0 1 0] of a simple cubic crystal is :
  • a)
    4r2
  • b)
    4r
  • c)
  • d)
Correct answer is option 'C'. Can you explain this answer?

Pie Academy answered
[0 1 0] is the miller indices of the plane, hence, the intercept will be   the plane is in x-z plane passing through y = 1.
Now number of atoms in the plane for simple cubic lattice is = 

⇒ Number of atoms per unit area of plane [0 1 0] of simple cubic lattice is,
 (since, a = 2r).
The correct answer is: 

Packing fraction of diamond cubic crystal structure is ____ % ?
    Correct answer is '34'. Can you explain this answer?

    Vedika Singh answered
    Number of atoms in diamond crystal
    Packing fraction 

    = 0.34
    = 34%
    The correct answer is: 34

    Choose the correct option :
    • a)
      Reciprocal lattice of simple cubic lattice is simple cubic lattice
    • b)
      Reciprocal lattice of bcc is fcc
    • c)
      Reciprocal lattice o f simple cubic lattice is bcc
    • d)
      Reciprocal lattice o f bcc is bcc
    Correct answer is option 'A,B'. Can you explain this answer?

    Vedika Singh answered
    Reciprocal lattice of simple cubic is always simple cubic whereas reciprocal lattice of bcc is fee and that of fee is bcc.
    The correct answers are: Reciprocal lattice of simple cubic lattice is simple cubic lattice, Reciprocal lattice of bcc is fcc

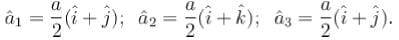
    The primitive translation vectors of the fcc lattice are

    The volume of the primitive cell of reciprocal lattice is : 
    • a)
    • b)
    • c)
    • d)
    Correct answer is option 'D'. Can you explain this answer?

    Vedika Singh answered
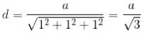
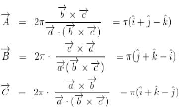
    The primitive translation vector of the reciprocal lattice to the above lattice be calculated as :



    Volume of the reciprocal lattice is :

    The correct answer is: 

    Choose the correct statement(s) for reciprocal lattice.
    • a)
      Any diffraction pattern of a crystal is a map of the reciprocal lattice of the crystal
    • b)
      When a crystal is made to rotate both the direct lattice and reciprocal lattice and reciprocal lattice rotates​
    • c)
      The dimension of vectors in a reciprocal lattice is of (length)-1
    • d)
      None of the above X
    Correct answer is option 'A,B,C'. Can you explain this answer?

    Vedika Singh answered

    The correct answers are: Any diffraction pattern of a crystal is a map of the reciprocal lattice of the crystal, When a crystal is made to rotate both the direct lattice and reciprocal lattice and reciprocaj lattice rotates, The dimension of vectors in a reciprocal lattice is of (length)-1

    What is the reciprocal lattice to simple cubic lattice?
    • a)
      fcc
    • b)
      simple cubic 
    • c)
      hcp
    • d)
      bcc
    Correct answer is option 'B'. Can you explain this answer?

    Pie Academy answered
    Primitive translation Vectors of simple cubic lattice may be written as :

    Then primitive translation vector of reciprocal lattice is



    Hence, the reciprocal lattice is itself a simple cubic lattice with lattice constant 

    The correct answer is: simple cubic

    The positions of number of nearest neighbours in a unit cell of bcc structure is given by:
    • a)
    • b)
    • c)
    • d)
      None of these
    Correct answer is option 'A'. Can you explain this answer?

    Arghya answered

    Nearest neighbour to an atom (say at origin) is the atom present is the centre of the
    at point P and the position of P can be =

    The correct answer is: = 

    Choose the correct feature(s) of miller indices :
    • a)
      All the parallel equidistant planes have the same miller indices.
    • b)
      If the miller indices of two planes are [8 4 4] and [4 2 2], the planes are parallel to each other.
    • c)
      A plane parallel to one of the co-ordinate axes has an intercept of infinity.
    • d)
      None of the above
    Correct answer is option 'A,B,C'. Can you explain this answer?

    Jayant Mishra answered
    → Miller indices give us an idea of the direction of the plane i.e. it tells us about the direction of normal to the plane and thus, it remains same for planes which are parallel.
    → [8 4 4] and [4 2 2] are equivalent.
    → If a plane is parallel to one of the coordinate axes, its miller indices for that particular direction is zero which indicates infinite intercept.
    The correct answers are: All the parallel equidistant planes have the same miller indices., If the miller indices of two planes are [8 4 4] and [4 2 2], the planes are parallel to each other., A plane parallel to one of the co-ordinate axes has an intercept of infinity.

    Choose the correct statement:
    • a)
      packing fraction for simple cubic is 68%
    • b)
      packing fraction for simple cubic structure is 52%
    • c)
      packing fraction for bcc cubic structure is 52%
    • d)
      packing fraction for bcc cubic structure is 68%
    Correct answer is option 'B,D'. Can you explain this answer?

    Jayant Mishra answered
    Packing fraction for simple cubic is 52% and packing fraction for bcc is 68%
    The correct answers are: packing fraction for simple cubic structure is 52%, packing fraction for bcc cubic structure is 68%

    Masses of ionic radii of Na+ and CI– in NaCI crystals are 22.99 amu, 0.98A and 35.45 amu, 1.82A respectively. What is the packing fraction of NaCI?
      Correct answer is '0.66'. Can you explain this answer?

      Jayant Mishra answered
      Lattice parameter a = 
      a = 2 [0.98 + 1.82] 
      a = 5.6A
      Each unit cell contains 4 atoms.
      Packing fraction = 
      Packing fraction = 
      Packing fraction = 0.66
      The correct answer is: 0.66

      What is the second nearest neighbour distance in bcc crystal whose conventional unit cell parameter is a?
      • a)
      • b)
      • c)
      • d)
        a
      Correct answer is option 'D'. Can you explain this answer?

      Pie Academy answered
      In a bcc structure, for any atom at the corner of the lattice, nearest neighbour is at the centre of the lattice which is at a distance of  The second nearest neighbour is at the adjacent corners of the lattice at a distance of 'a'.
      The correct answer is: a

      A molecule belongs to hep structure, then
      • a)
        total number of atoms in unit cell are 6
      • b)
        co-ordination number is 12
      • c)
        packing fraction is 74% 
      • d)
        none of the above
      Correct answer is option 'A,B,C'. Can you explain this answer?

      Vedika Singh answered

      Total number of atoms/unit cell =

      Co-ordinate number = 6 + 3 + 3 = 12 Packing fraction for hep = 74%
      The correct answers are: total number of atoms in unit cell are 6, co-ordination number is 12, packing fraction is 74%

      If d be the space between parallel lattice planes and  be reciprocal lattice vector, then which of the following relations are true?
      • a)
      • b)
      • c)
      • d)
      Correct answer is option 'C'. Can you explain this answer?

      Pie Academy answered
      If is unit vector normal to the plane, then

      If d is the interplanar. distance,

      where  is the translation vector along one of the unit axis.
      Here the planes are perpendicular to this unit axis 

      The correct answer is: 

      Metallic monovalent sodium crystallizes in bcc structures. If the length of unit cell is 4 x 10-8 cm. The concentration of conduction electrons in metallic sodium is x * 1022 cm-3 . Find x?
        Correct answer is '3.125'. Can you explain this answer?

        Vedika Singh answered
        Sodium has one conduction electron and bcc structure, for bcc structure, number of atoms in unit cell = 2.
        Number of conduction electrons = 2x1 =2.
        Concentration 
        The correct answer is: 3.125

        Which is/are correct for simple cubic lattice?
        • a)
          The volume of unit cell of reciprocal of simple cubic lattice is a3 .
        • b)
          The volume of unit cell of simple cubic lattice is a(where a is the edge)
        • c)
          Volume of unit cell in reciprocal lattice is
        • d)
          The lattice constant is  for reciprocal of simple cubic lattice.
        Correct answer is option 'B,C,D'. Can you explain this answer?

        Vedika Singh answered
        For simple cubic lattice, volume of unit cell = a3


        ⇒ lattice constant is  for reciprocal of simple cubic lattice
        ⇒ volume of unit cell in reciprocal lattice is

        The correct answers are: The volume of unit cell of simple cubic lattice is a3 (where a is the edge), The lattice constant is for reciprocal of simple cubic lattice.,
        Volume of unit cell in reciprocal lattice is

        For simple cubic structure, the correct statements are :
        • a)
          Co-ordination number are 6
        • b)
          Number of lattice point is equal to one
        • c)
          Co-ordination number is 8 
        • d)
          Number of lattice point is equal to two
        Correct answer is option 'A,B'. Can you explain this answer?

        Jayant Mishra answered

        For atom at A, there are 4 adjacent neighbours in the x-y plain and 2 neighbours along z-axis, one above and the other below the plane.
        Hence, coordination number is 6.
        Now  
        ⇒ lattice point is equal to one.
        The correct answers are: Co-ordination number are 6, Number of lattice point is equal to one

        If  is wave vector of incident X-ray and be the reciprocal lattice vector then condition for Bragg reflection is given by :
        • a)
        • b)
        • c)
        • d)
        Correct answer is option 'B'. Can you explain this answer?

        Pie Academy answered
        Correct Answer :- b
        Explanation : Bragg reflection or diffraction occurs when light waves are incident on an ultrasonic wave with a comparable wavelength. The light is reflected in a specular fashion by the ultrasonic grating, and undergoes constructive interference in accordance with Bragg's law.
         Let  be the scattered wave vector, then from Ewald construction :
        K' = K - G....(i)
        Since, for elastic scattering, there will be no change in the magnitude of the vector i.e.
        |K| = K' = 2π/λ
        Now squaring (i),
        K2 = K2 + G2 - 2K . G
        G2 = 2K . G

        Chapter doubts & questions for Crystal Structure - Solid State Physics for GATE 2025 is part of GATE Physics exam preparation. The chapters have been prepared according to the GATE Physics exam syllabus. The Chapter doubts & questions, notes, tests & MCQs are made for GATE Physics 2025 Exam. Find important definitions, questions, notes, meanings, examples, exercises, MCQs and online tests here.

        Chapter doubts & questions of Crystal Structure - Solid State Physics for GATE in English & Hindi are available as part of GATE Physics exam. Download more important topics, notes, lectures and mock test series for GATE Physics Exam by signing up for free.

        Top Courses GATE Physics