NEET Exam  >  NEET Questions  >   A body moving with a uniform acceleration cr... Start Learning for Free
A body moving with a uniform acceleration crosses a distance of 65 m in the 5 th second and 105 m in the 9th second. How far will it go in 20 s?
  • a)
    2040 m
  • b)
    240 m
  • c)
    2400 m
  • d)
    2004 m
Correct answer is option 'C'. Can you explain this answer?
Most Upvoted Answer
A body moving with a uniform acceleration crosses a distance of 65 m ...
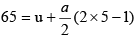
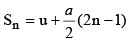
We have,
or
or ..... (i)
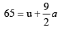
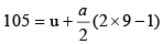
Also,
Equation (ii) – (i) gives,
Substitute this value in (i) we get,
∴ The distance traveled by the body in 20 s is,
= 400 + 2000 = 2400 m.
Free Test
Community Answer
A body moving with a uniform acceleration crosses a distance of 65 m ...
Given data:
- Distance covered in the 5th second = 65 m
- Distance covered in the 9th second = 105 m

Calculating acceleration:
- Let the initial velocity of the body be u and the acceleration be a.
- Using the formula for distance covered with uniform acceleration:
- Distance covered in nth second = u + 0.5 * a * n^2
- Substitute n = 5 and distance = 65 m: 65 = u + 0.5 * a * 5^2
- Solve for u and a: u + 12.5a = 65 ...(1)
- Substitute n = 9 and distance = 105 m: 105 = u + 0.5 * a * 9^2
- Solve for u and a: u + 40.5a = 105 ...(2)
- Subtract equation (1) from equation (2) to get: 28a = 40
- Solve for a: a = 40 / 28 = 1.43 m/s^2

Calculating distance covered in 20 seconds:
- Using the formula for distance covered with uniform acceleration:
- Distance covered in 20 seconds = u * 20 + 0.5 * a * 20^2
- Substitute u = 65 - 0.5 * 1.43 * 5^2 = 52.5 m/s
- Substitute a = 1.43 m/s^2 and calculate:
- Distance covered in 20 seconds = 52.5 * 20 + 0.5 * 1.43 * 20^2 = 2400 m
Therefore, the body will go a distance of 2400 m in 20 seconds. So, the correct answer is option c) 2400 m.
Explore Courses for NEET exam

Top Courses for NEET

Question Description
A body moving with a uniform acceleration crosses a distance of 65 m in the 5 th second and 105 m in the 9th second. How far will it go in 20 s?a)2040 mb)240 mc)2400 md)2004 mCorrect answer is option 'C'. Can you explain this answer? for NEET 2025 is part of NEET preparation. The Question and answers have been prepared according to the NEET exam syllabus. Information about A body moving with a uniform acceleration crosses a distance of 65 m in the 5 th second and 105 m in the 9th second. How far will it go in 20 s?a)2040 mb)240 mc)2400 md)2004 mCorrect answer is option 'C'. Can you explain this answer? covers all topics & solutions for NEET 2025 Exam. Find important definitions, questions, meanings, examples, exercises and tests below for A body moving with a uniform acceleration crosses a distance of 65 m in the 5 th second and 105 m in the 9th second. How far will it go in 20 s?a)2040 mb)240 mc)2400 md)2004 mCorrect answer is option 'C'. Can you explain this answer?.
Solutions for A body moving with a uniform acceleration crosses a distance of 65 m in the 5 th second and 105 m in the 9th second. How far will it go in 20 s?a)2040 mb)240 mc)2400 md)2004 mCorrect answer is option 'C'. Can you explain this answer? in English & in Hindi are available as part of our courses for NEET. Download more important topics, notes, lectures and mock test series for NEET Exam by signing up for free.
Here you can find the meaning of A body moving with a uniform acceleration crosses a distance of 65 m in the 5 th second and 105 m in the 9th second. How far will it go in 20 s?a)2040 mb)240 mc)2400 md)2004 mCorrect answer is option 'C'. Can you explain this answer? defined & explained in the simplest way possible. Besides giving the explanation of A body moving with a uniform acceleration crosses a distance of 65 m in the 5 th second and 105 m in the 9th second. How far will it go in 20 s?a)2040 mb)240 mc)2400 md)2004 mCorrect answer is option 'C'. Can you explain this answer?, a detailed solution for A body moving with a uniform acceleration crosses a distance of 65 m in the 5 th second and 105 m in the 9th second. How far will it go in 20 s?a)2040 mb)240 mc)2400 md)2004 mCorrect answer is option 'C'. Can you explain this answer? has been provided alongside types of A body moving with a uniform acceleration crosses a distance of 65 m in the 5 th second and 105 m in the 9th second. How far will it go in 20 s?a)2040 mb)240 mc)2400 md)2004 mCorrect answer is option 'C'. Can you explain this answer? theory, EduRev gives you an ample number of questions to practice A body moving with a uniform acceleration crosses a distance of 65 m in the 5 th second and 105 m in the 9th second. How far will it go in 20 s?a)2040 mb)240 mc)2400 md)2004 mCorrect answer is option 'C'. Can you explain this answer? tests, examples and also practice NEET tests.
Explore Courses for NEET exam

Top Courses for NEET

Explore Courses
Signup for Free!
Signup to see your scores go up within 7 days! Learn & Practice with 1000+ FREE Notes, Videos & Tests.
10M+ students study on EduRev