NEET Exam  >  NEET Questions  >   The ratio of the distances travelled by a fr... Start Learning for Free
The ratio of the distances travelled by a freely falling body in the 1st ,2nd ,3rd and 4th second
  • a)
    1 : 2 : 3 : 4
  • b)
    1 : 4 : 9 : 16
  • c)
    1 : 3 : 5 : 7
  • d)
    1 : 1 : 1 : 1
Correct answer is option 'C'. Can you explain this answer?
Most Upvoted Answer
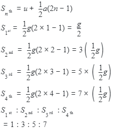
The ratio of the distances travelled by a freely falling body in the ...
Free Test
Community Answer
The ratio of the distances travelled by a freely falling body in the ...
Solution:

To understand the ratio of the distances traveled by a freely falling body in the 1st, 2nd, 3rd, and 4th seconds, we need to consider the motion of the body under free fall.

1. Understanding Free Fall:
When an object is in free fall, it means it is only under the influence of gravity, and no other forces are acting on it. In such a scenario, the object accelerates downwards at a constant rate, known as the acceleration due to gravity (g).

2. Distance Traveled in Free Fall:
The distance traveled by a freely falling body during each second can be calculated using the equation for distance traveled with constant acceleration:

d = ut + 0.5at^2

where d is the distance traveled, u is the initial velocity (which is zero in this case), a is the acceleration (equal to g), and t is the time.

3. Analyzing the Options:
Let's calculate the distances traveled by the body in the 1st, 2nd, 3rd, and 4th seconds using the given options and see which one matches the pattern.

a) 1 : 2 : 3 : 4
- Distance in 1st second: d1 = 0.5 × g × (1^2) = 0.5g
- Distance in 2nd second: d2 = 0.5 × g × (2^2) = 2g
- Distance in 3rd second: d3 = 0.5 × g × (3^2) = 4.5g
- Distance in 4th second: d4 = 0.5 × g × (4^2) = 8g

b) 1 : 4 : 9 : 16
- Distance in 1st second: d1 = 0.5 × g × (1^2) = 0.5g
- Distance in 2nd second: d2 = 0.5 × g × (2^2) = 2g
- Distance in 3rd second: d3 = 0.5 × g × (3^2) = 4.5g
- Distance in 4th second: d4 = 0.5 × g × (4^2) = 8g

c) 1 : 3 : 5 : 7
- Distance in 1st second: d1 = 0.5 × g × (1^2) = 0.5g
- Distance in 2nd second: d2 = 0.5 × g × (2^2) = 2g
- Distance in 3rd second: d3 = 0.5 × g × (3^2) = 4.5g
- Distance in 4th second: d4 = 0.5 × g × (4^2) = 8g

d) 1 : 1 : 1 : 1
- Distance in 1st second: d1 = 0.5 × g × (1^2) = 0.5g
- Distance in 2nd second: d2 = 0.5 × g × (2^2) = 2g
- Distance in
Explore Courses for NEET exam

Top Courses for NEET

Question Description
The ratio of the distances travelled by a freely falling body in the 1st ,2nd ,3rd and 4th seconda)1 : 2 : 3 : 4b)1 : 4 : 9 : 16c)1 : 3 : 5 : 7d)1 : 1 : 1 : 1Correct answer is option 'C'. Can you explain this answer? for NEET 2025 is part of NEET preparation. The Question and answers have been prepared according to the NEET exam syllabus. Information about The ratio of the distances travelled by a freely falling body in the 1st ,2nd ,3rd and 4th seconda)1 : 2 : 3 : 4b)1 : 4 : 9 : 16c)1 : 3 : 5 : 7d)1 : 1 : 1 : 1Correct answer is option 'C'. Can you explain this answer? covers all topics & solutions for NEET 2025 Exam. Find important definitions, questions, meanings, examples, exercises and tests below for The ratio of the distances travelled by a freely falling body in the 1st ,2nd ,3rd and 4th seconda)1 : 2 : 3 : 4b)1 : 4 : 9 : 16c)1 : 3 : 5 : 7d)1 : 1 : 1 : 1Correct answer is option 'C'. Can you explain this answer?.
Solutions for The ratio of the distances travelled by a freely falling body in the 1st ,2nd ,3rd and 4th seconda)1 : 2 : 3 : 4b)1 : 4 : 9 : 16c)1 : 3 : 5 : 7d)1 : 1 : 1 : 1Correct answer is option 'C'. Can you explain this answer? in English & in Hindi are available as part of our courses for NEET. Download more important topics, notes, lectures and mock test series for NEET Exam by signing up for free.
Here you can find the meaning of The ratio of the distances travelled by a freely falling body in the 1st ,2nd ,3rd and 4th seconda)1 : 2 : 3 : 4b)1 : 4 : 9 : 16c)1 : 3 : 5 : 7d)1 : 1 : 1 : 1Correct answer is option 'C'. Can you explain this answer? defined & explained in the simplest way possible. Besides giving the explanation of The ratio of the distances travelled by a freely falling body in the 1st ,2nd ,3rd and 4th seconda)1 : 2 : 3 : 4b)1 : 4 : 9 : 16c)1 : 3 : 5 : 7d)1 : 1 : 1 : 1Correct answer is option 'C'. Can you explain this answer?, a detailed solution for The ratio of the distances travelled by a freely falling body in the 1st ,2nd ,3rd and 4th seconda)1 : 2 : 3 : 4b)1 : 4 : 9 : 16c)1 : 3 : 5 : 7d)1 : 1 : 1 : 1Correct answer is option 'C'. Can you explain this answer? has been provided alongside types of The ratio of the distances travelled by a freely falling body in the 1st ,2nd ,3rd and 4th seconda)1 : 2 : 3 : 4b)1 : 4 : 9 : 16c)1 : 3 : 5 : 7d)1 : 1 : 1 : 1Correct answer is option 'C'. Can you explain this answer? theory, EduRev gives you an ample number of questions to practice The ratio of the distances travelled by a freely falling body in the 1st ,2nd ,3rd and 4th seconda)1 : 2 : 3 : 4b)1 : 4 : 9 : 16c)1 : 3 : 5 : 7d)1 : 1 : 1 : 1Correct answer is option 'C'. Can you explain this answer? tests, examples and also practice NEET tests.
Explore Courses for NEET exam

Top Courses for NEET

Explore Courses
Signup for Free!
Signup to see your scores go up within 7 days! Learn & Practice with 1000+ FREE Notes, Videos & Tests.
10M+ students study on EduRev