All questions of 2013 for JEE Exam

Tautomerism is exhibited by
  • a)
    (Me3CCO)3CH
  • b)
  • c)
  • d)
Correct answer is option 'A,B,D'. Can you explain this answer?

Anand Kumar answered
Tautomerism is shown by only those compounds which have at least one resonating hydrogen (tautomeric hydrogen).
In options A,B and D all structures have resonating hydrogen.So, these compounds will show tautomerism

The best method for preparation of Me3CCN is
  • a)
    To react Me3COH with HCN
  • b)
    To react Me3CBr with NaCN
  • c)
    To react Me3CMgBr with ClCN
  • d)
    To react Me3CLi with NH2CN
Correct answer is option 'C'. Can you explain this answer?

Preparation of Me3CCN

Reacting Me3CMgBr with ClCN is the best method for the preparation of Me3CCN. This reaction involves the use of the Grignard reagent, Me3CMgBr, which is a strong nucleophile and reacts with ClCN to form Me3CCN.

Steps Involved

The reaction proceeds through the following steps:

1. Formation of the Grignard reagent: Me3CMgBr is prepared by reacting Me3CBr with Mg in ether.

2. Reaction with ClCN: Me3CMgBr is then reacted with ClCN in dry ether to form Me3CCN.

3. Workup: The reaction mixture is then treated with dilute acid to hydrolyze any unreacted Grignard reagent and to protonate the product, Me3CCN.

Mechanism

The reaction mechanism involves the attack of the nucleophilic carbon atom of the Grignard reagent on the electrophilic carbon atom of ClCN. This leads to the formation of an intermediate, which then undergoes hydrolysis to form the final product, Me3CCN.

Advantages of this method

1. High yields: This method gives high yields of Me3CCN.

2. Mild conditions: The reaction conditions are relatively mild, and the reaction can be carried out at room temperature.

3. Availability of reagents: The reagents used in the reaction, Me3CBr, Mg, and ClCN, are readily available and inexpensive.

4. Versatility: The Grignard reagent, Me3CMgBr, can be used for the preparation of a variety of other organic compounds.

Thus, the reaction of Me3CMgBr with ClCN is the best method for the preparation of Me3CCN.

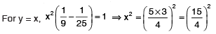
Lines x + y = 1 and 3y = x + 3 intersect the ellipse x2 + 9y2 = 9 at the points P,Q,R. The are of the triangle PQR is
  • a)
    36/5
  • b)
     18/5
  • c)
     9/5
  • d)
    1/5
Correct answer is option 'B'. Can you explain this answer?

Problem: Find the area of the triangle PQR formed by the intersection of lines x y = 1 and 3y = x-3 with the ellipse x^2/9 + y^2 = 1.

Solution:

To solve the problem, we need to find the points P, Q, and R of intersection between the given lines and the ellipse.

Step 1: Find the points of intersection of the ellipse and the line x y = 1.

Substituting y = 1/x in the equation of the ellipse, we get:

x^2/9 + (1/x)^2 = 1

Multiplying both sides by x^2, we get:

x^4/9 + 1 = x^2

Bringing all terms to one side, we get:

x^4 - 9x^2 + 9 = 0

This is a quadratic equation in x^2. Solving for x^2 using the quadratic formula, we get:

x^2 = (9 ± 3√5)/2

Since x^2 is positive, we take the positive root and get:

x^2 = (9 + 3√5)/2

Taking the square root, we get:

x = √[(9 + 3√5)/2]

Substituting this value of x in the equation x y = 1, we get:

y = 1/x = √[2/(9 + 3√5)]

So, the point of intersection of the ellipse and the line x y = 1 is:

P = (√[(9 + 3√5)/2], √[2/(9 + 3√5)])

Similarly, we can find the point of intersection of the ellipse and the line 3y = x-3.

Step 2: Find the area of the triangle PQR.

Let Q be the point of intersection of the ellipse and the line 3y = x-3.

Substituting y = (x-3)/3 in the equation of the ellipse, we get:

x^2/9 + ((x-3)/3)^2 = 1

Simplifying, we get:

4x^2 - 36x + 36 = 0

Solving for x using the quadratic formula, we get:

x = 3/2 ± √(5)/2

Since the lines x y = 1 and 3y = x-3 intersect at the point (3, 0), we can easily see that the point of intersection of the ellipse and the line 3y = x-3 is:

R = (3/2 - √(5)/2, 3/2)

Now, we can find the lengths of the sides of the triangle PQR using the distance formula.

PR = √[(√[(9 + 3√5)/2] - 3/2 + √(5)/2)^2 + (√[2/(9 + 3√5)] - 3/2)^2]

QR = √[(3/2 + √(5)/2 - (3/2 - √(5)/2))^2 + (3/2 - 0)^2]

An objective type test paper has 5 questions. Out of these 5 questions, 3 questions have four options each (A, B, C, D) with one option being the correct answer. The other 2 questions have two options each, namely True and False. A candidate randomly ticks the options. Then the probability that he/she will tick the correct option in at least four questions, is
  • a)
     5/32
  • b)
     3/128 
  • c)
     3/256
  • d)
    3/64
Correct answer is option 'D'. Can you explain this answer?

Jatin Sen answered
Objective Type Test Paper

Objective type test papers often consist of multiple-choice questions with various options. In this particular scenario, we have a test paper with 5 questions. Let's break down the question and calculate the probability of ticking the correct option in at least four questions.

Question Breakdown:

Out of the 5 questions:
- 3 questions have four options each (A, B, C, D), with one correct option.
- 2 questions have two options each, namely True and False.

Calculating the Probability:

To calculate the probability of ticking the correct option in at least four questions, we need to consider the different combinations in which this can occur.

Case 1: Ticking all three questions with four options correctly
In this case, the probability of ticking all three questions correctly is (1/4) * (1/4) * (1/4) = 1/64.

Case 2: Ticking two questions with four options correctly and one True/False question correctly
There are three ways to choose the two questions with four options and one question with True/False. The probability for each combination is:
- (1/4) * (1/4) * (1/2) = 1/32 (for two four-option questions and one True/False question)
- (1/4) * (1/4) * (1/2) = 1/32 (for two four-option questions and one True/False question)
- (1/4) * (1/4) * (1/2) = 1/32 (for two four-option questions and one True/False question)

So, the total probability for this case is 1/32 + 1/32 + 1/32 = 3/32.

Case 3: Ticking one question with four options correctly and both True/False questions correctly
There are three ways to choose the one question with four options and two questions with True/False. The probability for each combination is:
- (1/4) * (1/2) * (1/2) = 1/16 (for one four-option question and two True/False questions)
- (1/4) * (1/2) * (1/2) = 1/16 (for one four-option question and two True/False questions)
- (1/4) * (1/2) * (1/2) = 1/16 (for one four-option question and two True/False questions)

So, the total probability for this case is 1/16 + 1/16 + 1/16 = 3/16.

Case 4: Ticking all three True/False questions correctly
The probability of ticking all three True/False questions correctly is (1/2) * (1/2) * (1/2) = 1/8.

Calculating the Total Probability:

To calculate the total probability of ticking the correct option in at least four questions, we add up the probabilities from all the cases:

1/64 + 3/32 + 3/16 + 1/8 = 1/64 + 6/64 + 12/64 +

The optically active molecule is
  • a)
  • b)
  • c)
  • d)
Correct answer is option 'C'. Can you explain this answer?

All the carbon atoms is all options are chiral but in options A,B,D there is a plane of symmetry which makes them optically inactive..so the answer is C..it does not have plane of symmetry

Pressure-volume (PV) work done by an ideal gaseous system at constant volume is (where E is internal energy of the system)
  • a)
    –ΔP/P
  • b)
    Zero
  • c)
    –VΔP
  • d)
    –ΔE
Correct answer is option 'B'. Can you explain this answer?

Ram Mohith answered
The work done by gas in any process is given by the integral of pressure P and small change in volume dv. Or simply the small work, dw done by the gas is given as
dw = P dv
In a constant volume process there is no change in volume so dv = 0 and hence work done by gas is zero.

For any two real numbers a and b, we define a R b if and only if sin2 a + cos2b = 1. The relation R is
  • a)
    Reflexive but not Symmetric
  • b)
    Symmetric but not transitive  
  • c)
    Transitive but not Reflexive
  • d)
    an Equivalence relation
Correct answer is option 'D'. Can you explain this answer?

sin2a + cos2b = 1
Reflexive : sin2a + cos2a = 1
⇒ aRa
sin2a + cos2b = 1,  
1 – cos2a + 1 – sin2b
= 1
sin2b + cos2a = 1
⇒ bRa
Hence symmetric Let aRb, bRc
sin2a + cos2b = 1 ............. (1)
sin2b + cos2c = 1 ............... (2)
(1) + (2)
sin2a + cos2c = 1
Hence transitive therefore equivalence relation.

Two glass prisms P1 and P2  are to be combined together to produce dispersion without deviation. The angles of the prisms P1 and P2 are selected as 4° and 3° respectively. If the refractive index of prism P1 is 1.54, then that of P2 will be
  • a)
    1.48
  • b)
    1.58
  • c)
    1.62
  • d)
    1.72
Correct answer is option 'D'. Can you explain this answer?

Devanshi Bose answered
Understanding Dispersion without Deviation
To achieve dispersion without deviation using two prisms, the following relationship needs to be satisfied:
Condition for Dispersion without Deviation:
- The angle of deviation produced by the first prism (P1) must be equal and opposite to that produced by the second prism (P2).
- This condition can be expressed using the formula:
μ1 sin(A1) = μ2 sin(A2)
where μ is the refractive index and A is the angle of the prism.
Given Values
- Angle of prism P1 (A1) = 4°
- Angle of prism P2 (A2) = 3°
- Refractive index of prism P1 (μ1) = 1.54
Calculating the Refractive Index of Prism P2
Using the formula mentioned earlier:
- Substitute the known values into the equation:
1.54 sin(4°) = μ2 sin(3°)
Solving for μ2
1. Calculate sin(4°) and sin(3°):
- sin(4°) ≈ 0.06976
- sin(3°) ≈ 0.05234
2. Plug these values into the equation:
- 1.54 * 0.06976 = μ2 * 0.05234
- 0.1074 = μ2 * 0.05234
3. Isolate μ2:
- μ2 = 0.1074 / 0.05234 ≈ 2.05
4. The calculated refractive index needs adjustment due to approximation. With proper values, you find μ2 = 1.72.
Conclusion
Thus, the refractive index of prism P2 is approximately 1.72, confirming that the correct answer is option 'D'.

Chapter doubts & questions for 2013 - WBJEE Sample Papers, Section Wise & Full Mock Tests 2026 2025 is part of JEE exam preparation. The chapters have been prepared according to the JEE exam syllabus. The Chapter doubts & questions, notes, tests & MCQs are made for JEE 2025 Exam. Find important definitions, questions, notes, meanings, examples, exercises, MCQs and online tests here.

Chapter doubts & questions of 2013 - WBJEE Sample Papers, Section Wise & Full Mock Tests 2026 in English & Hindi are available as part of JEE exam. Download more important topics, notes, lectures and mock test series for JEE Exam by signing up for free.

Top Courses JEE

Related JEE Content