All Exams  >   Grade 9  >   AP Statistics  >   All Notes

All notes of AP Statistics for Grade 9 Exam

Unit 1: Exploring One-Variable Data
Unit 4: Probability, Random Variables, and Probability Distributions
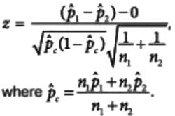
Unit 6: Inference for Categorical Data: Proportions
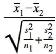
Unit 7: Inference for Quantitative Data: Means

AP Statistics

12 videos|106 docs|12 tests

Top Courses Grade 9

Revision notes for AP Statistics 2025 is part of Grade 9 exam preparation. The notes have been prepared according to the Grade 9 exam syllabus. The revision notes, tests & MCQs are made for Grade 9 2025 Exam. Find important definitions, questions, notes, meanings, examples, exercises, MCQs and online tests here.

Notes of AP Statistics in English & Hindi are available as part of Grade 9 exam. Download more important topics, notes, lectures and mock test series for Grade 9 Exam by signing up for free.